🇳🇴 🇬🇧 🇩🇪 🇨🇿 🇫🇮

Meteor, poloha: Oppeid 2022-11-20 19:23:16 UTC

Soubor KML  |  InteraktivnĂ­ mapa

Mapa zobrazuje dráhy meteoru. Světlejší čáry ukazují směry od pozorovacích stanic při objevení se meteoru a tmavší čáry, kde byl naposledy viděn. Modrá šipka značí viditelnou dráhu meteoru.

static map
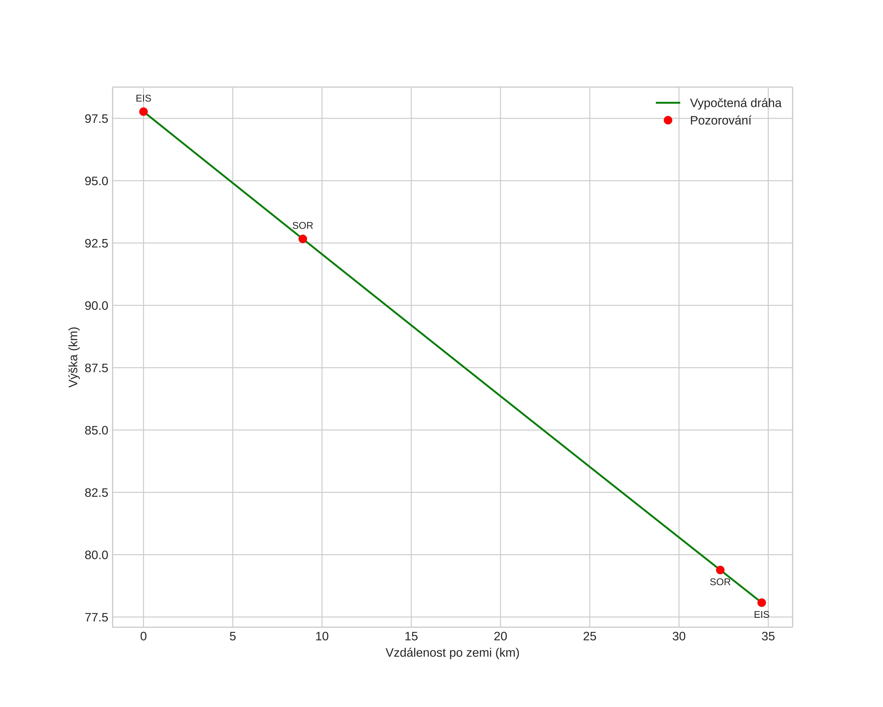
height profile
Atmosférická dráha meteoru:
Počáteční výška: 96,7 km
Konečná výška: 76,9 km
Počáteční poloha: 67,656N 16,624E
Konečná poloha: 67,804N 15,922E
Směr: 299,5°
Sklon: 30,3°
VstupnĂ­ rychlost: 28,5 km/s
Rektascenze radiantu: 03:58 (59,6°)
Deklinace radiantu: 15,2°
MeteorickĂ˝ roj: JiĹľnĂ­ Tauridy
Elementy dráhy meteoroidu:
Vzdálenost v periheliu: 0,503 AU
Excentricita: 0,855
Sklon dráhy: 4,7°
Délka vzestupného uzlu: 58,2°
Argument perihelia: 93,7°
Střední anomálie: 353,6°
Epocha: 2022 NOV 20 19:23:16
orbit plot

NeinteraktivnĂ­ graf | InteraktivnĂ­ graf

position vs time
speed and acceleration