🇳🇴 🇬🇧 🇩🇪 🇨🇿 🇫🇮

Meteor Oppeidin yllä 2022-11-20 19:23:16 UTC

KML-tiedosto  |  Interaktiivinen kartta

Kartta näyttää meteorin suuntahavainnot. Vaaleammat viivat näyttävät suunnat havaintoasemilta meteorin ilmestyessä, ja tummemmat viivat näyttävät, missä se viimeksi nähtiin. Sininen nuoli näyttää meteorin näkyvän lennon.

static map
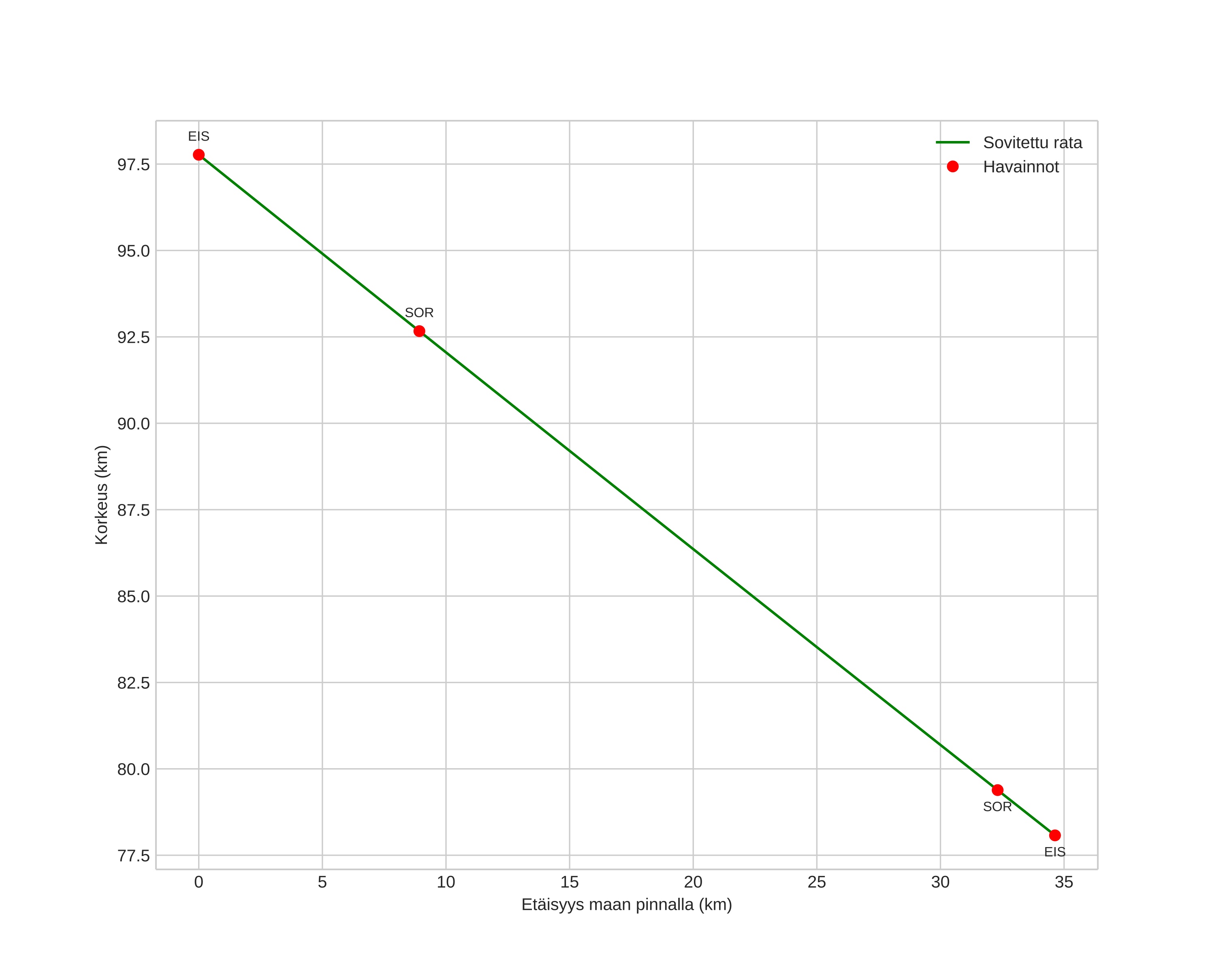
height profile
Meteorin ilmakehärata:
Alkukorkeus: 96,7 km
Loppukorkeus: 76,9 km
Alkupiste: 67,656N 16,624E
Loppupiste: 67,804N 15,922E
Suunta: 299,5°
Kallistuskulma: 30,3°
Tulonopeus: 28,5 km/s
Radiantin R,A,: 03:58 (59,6°)
Radiantin Dekl,: 15,2°
Meteoriparvi: Eteläiset tauridit
Meteoroidin rataelementit:
Perihelietäisyys: 0,503 AU
Eksentrisyys: 0,855
Inklinaatio: 4,7°
Nousevan solmun pituus: 58,2°
Perihelin argumentti: 93,7°
Keskianomalia: 353,6°
Epookki: 2022 NOV 20 19:23:16
orbit plot

Ei-interaktiivinen kuvaaja | Interaktiivinen kuvaaja

position vs time
speed and acceleration