🇳🇴 🇬🇧 🇩🇪 🇨🇿 🇫🇮

Meteor, poloha: Kittilä 2022-11-20 20:46:08 UTC

Soubor KML  |  InteraktivnĂ­ mapa

Mapa zobrazuje dráhy meteoru. Světlejší čáry ukazují směry od pozorovacích stanic při objevení se meteoru a tmavší čáry, kde byl naposledy viděn. Modrá šipka značí viditelnou dráhu meteoru.

static map
height profile
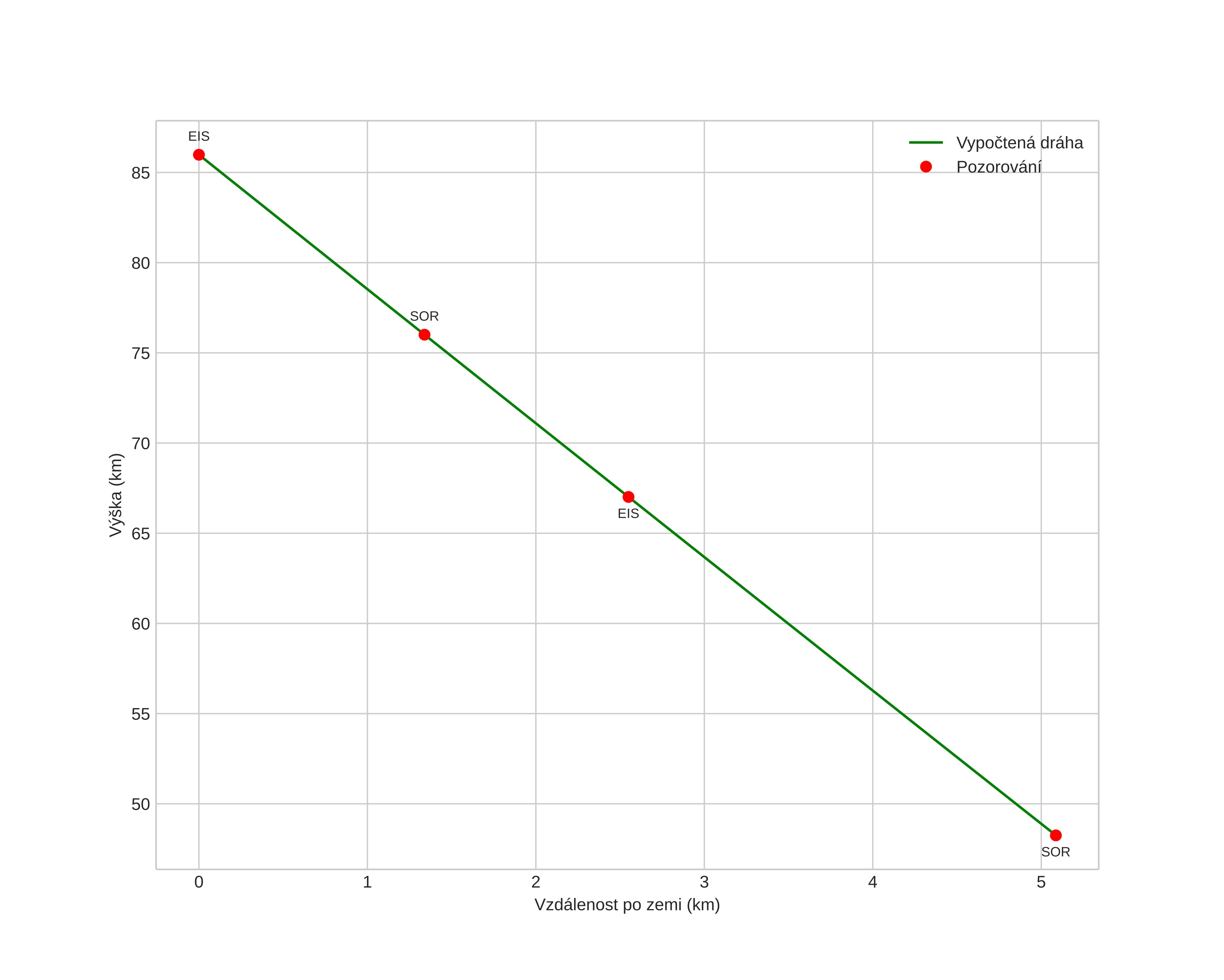
Atmosférická dráha meteoru:
Počáteční výška: 84,9 km
Konečná výška: 48,7 km
Počáteční poloha: 67,983N 25,149E
Konečná poloha: 67,930N 25,260E
Směr: 142,1°
Sklon: 78,3°
VstupnĂ­ rychlost: 21,0 km/s
Rektascenze radiantu: 00:05 (1,3°)
Deklinace radiantu: 75,3°
MeteorickĂ˝ roj: sporadickĂ˝
Elementy dráhy meteoroidu:
Vzdálenost v periheliu: 0,889 AU
Excentricita: 0,446
Sklon dráhy: 27,5°
Délka vzestupného uzlu: 238,2°
Argument perihelia: 227,4°
Střední anomálie: 342,5°
Epocha: 2022 NOV 20 20:46:08
orbit plot

NeinteraktivnĂ­ graf | InteraktivnĂ­ graf

position vs time
speed and acceleration