🇳🇴 🇬🇧 🇩🇪 🇨🇿 🇫🇮

Meteor Kittiläin yllä 2022-11-20 20:46:08 UTC

KML-tiedosto  |  Interaktiivinen kartta

Kartta näyttää meteorin suuntahavainnot. Vaaleammat viivat näyttävät suunnat havaintoasemilta meteorin ilmestyessä, ja tummemmat viivat näyttävät, missä se viimeksi nähtiin. Sininen nuoli näyttää meteorin näkyvän lennon.

static map
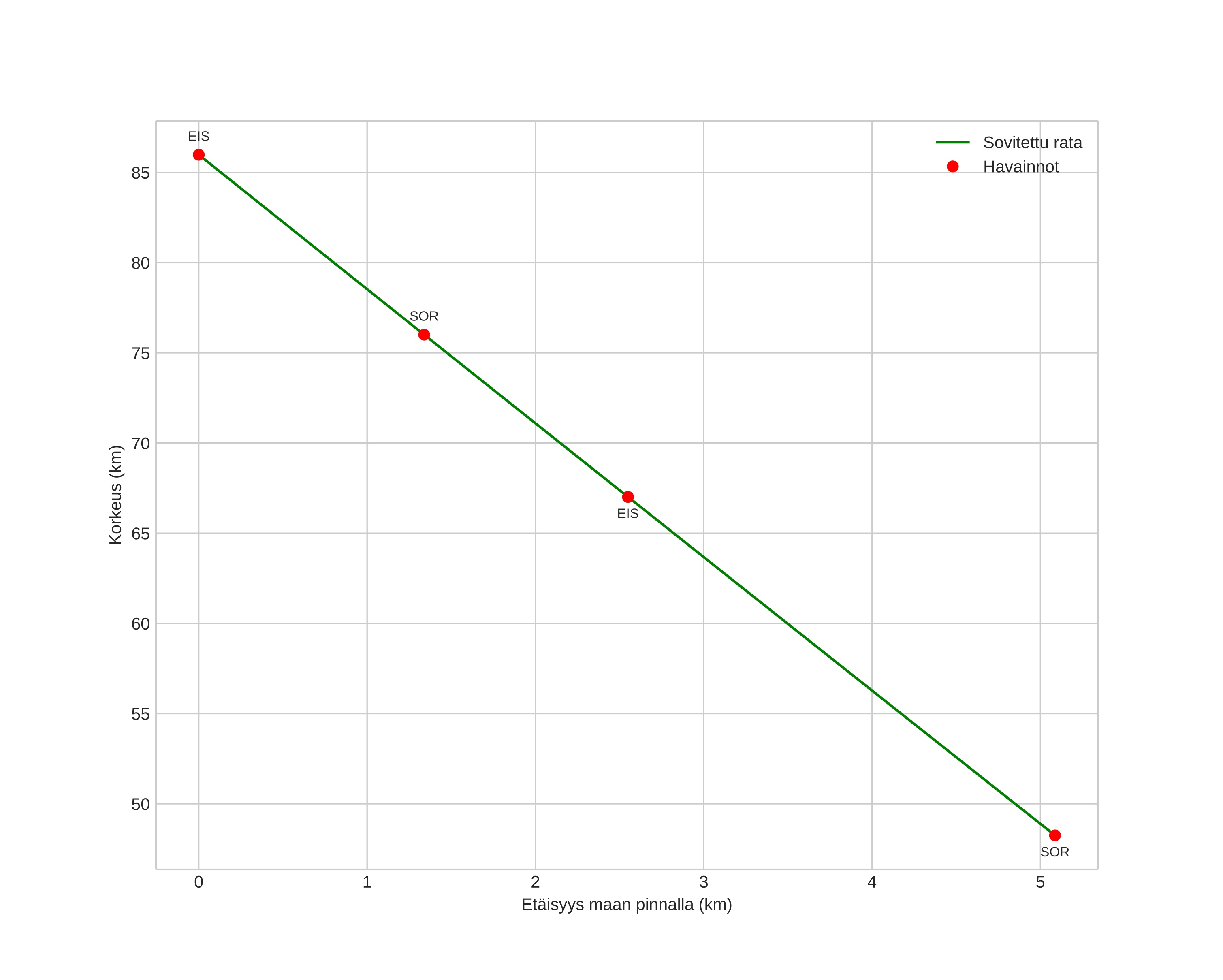
height profile
Meteorin ilmakehärata:
Alkukorkeus: 84,9 km
Loppukorkeus: 48,7 km
Alkupiste: 67,983N 25,149E
Loppupiste: 67,930N 25,260E
Suunta: 142,1°
Kallistuskulma: 78,3°
Tulonopeus: 21,0 km/s
Radiantin R,A,: 00:05 (1,3°)
Radiantin Dekl,: 75,3°
Meteoriparvi: Sporadinen
Meteoroidin rataelementit:
Perihelietäisyys: 0,889 AU
Eksentrisyys: 0,446
Inklinaatio: 27,5°
Nousevan solmun pituus: 238,2°
Perihelin argumentti: 227,4°
Keskianomalia: 342,5°
Epookki: 2022 NOV 20 20:46:08
orbit plot

Ei-interaktiivinen kuvaaja | Interaktiivinen kuvaaja

position vs time
speed and acceleration