🇳🇴 🇬🇧 🇩🇪 🇨🇿 🇫🇮

Meteor über Hatteng 2022-11-20 21:02:33 UTC

KML-Datei  |  Interaktive Karte

Die Karte zeigt die Peilungen für den Meteor. Die helleren Linien zeigen die Richtungen von den Beobachtungsorten beim Erscheinen des Meteors, und die dunkleren Linien, wo er zuletzt gesehen wurde. Der blaue Pfeil zeigt die sichtbare Bahn des Meteors.

static map
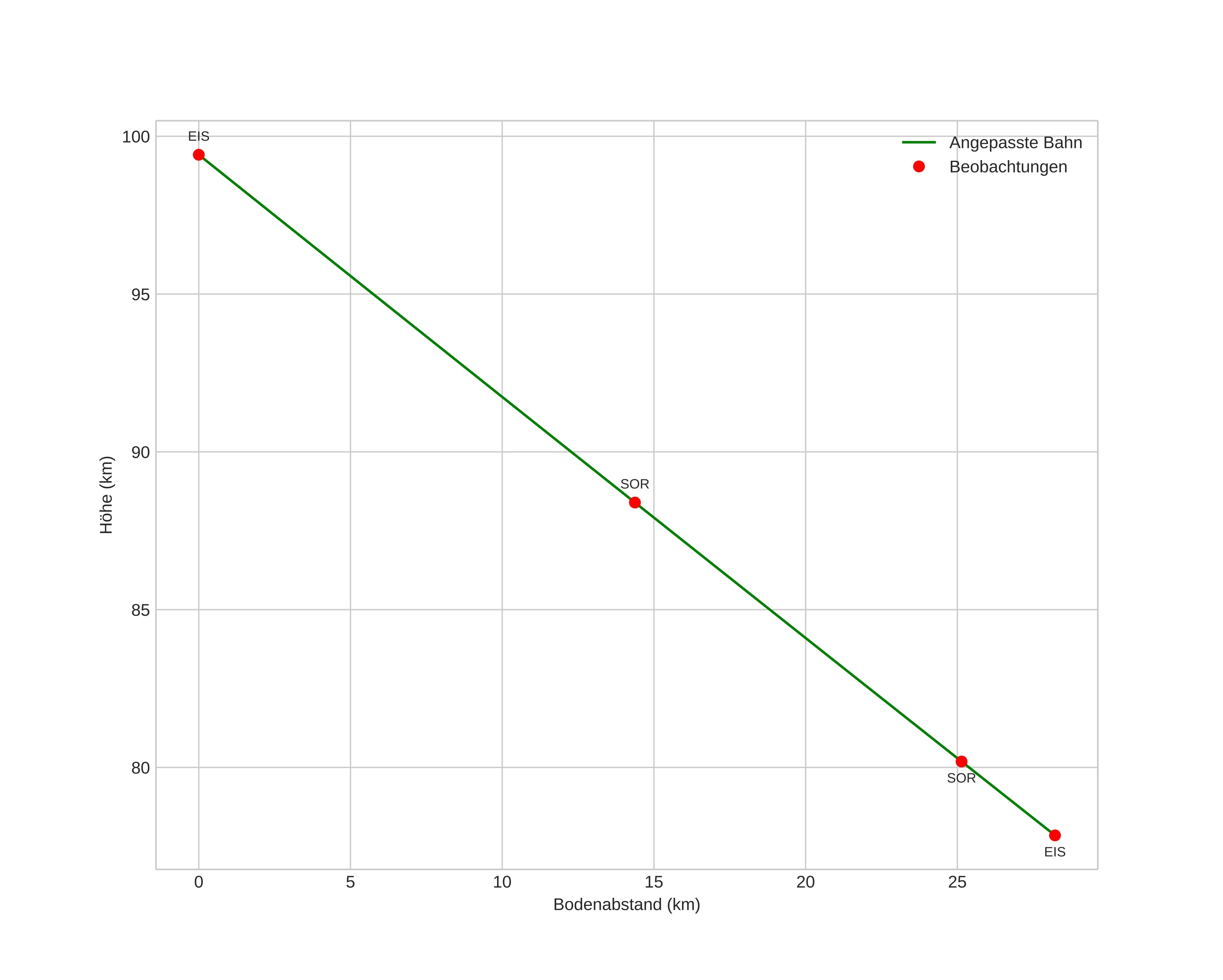
height profile
Atmosphärische Bahn des Meteors:
Anfangshöhe: 99,1 km
Endhöhe: 77,8 km
Startposition: 68,969N 20,228E
Endposition: 69,178N 19,842E
Richtung: 326,9°
Neigungswinkel: 37,3°
Eintrittsgeschwindigkeit: 30,1 km/s
Rektaszension des Radianten: 04:11 (62,8°)
Deklination des Radianten: 17,0°
Meteorstrom: Südliche Tauriden
Bahnelemente des Meteoroiden:
Periheldistanz: 0,443 AU
Exzentrizität: 0,870
Inklination: 4,1°
Länge des aufsteigenden Knotens: 58,2°
Argument des Perihels: 100,7°
Mittlere Anomalie: 353,5°
Epoche: 2022 NOV 20 21:02:33
orbit plot

Nicht-interaktives Diagramm | Interaktives Diagramm

position vs time
speed and acceleration