🇳🇴 🇬🇧 🇩🇪 🇨🇿 🇫🇮

Meteor Hattengin yllä 2022-11-20 21:02:33 UTC

KML-tiedosto  |  Interaktiivinen kartta

Kartta näyttää meteorin suuntahavainnot. Vaaleammat viivat näyttävät suunnat havaintoasemilta meteorin ilmestyessä, ja tummemmat viivat näyttävät, missä se viimeksi nähtiin. Sininen nuoli näyttää meteorin näkyvän lennon.

static map
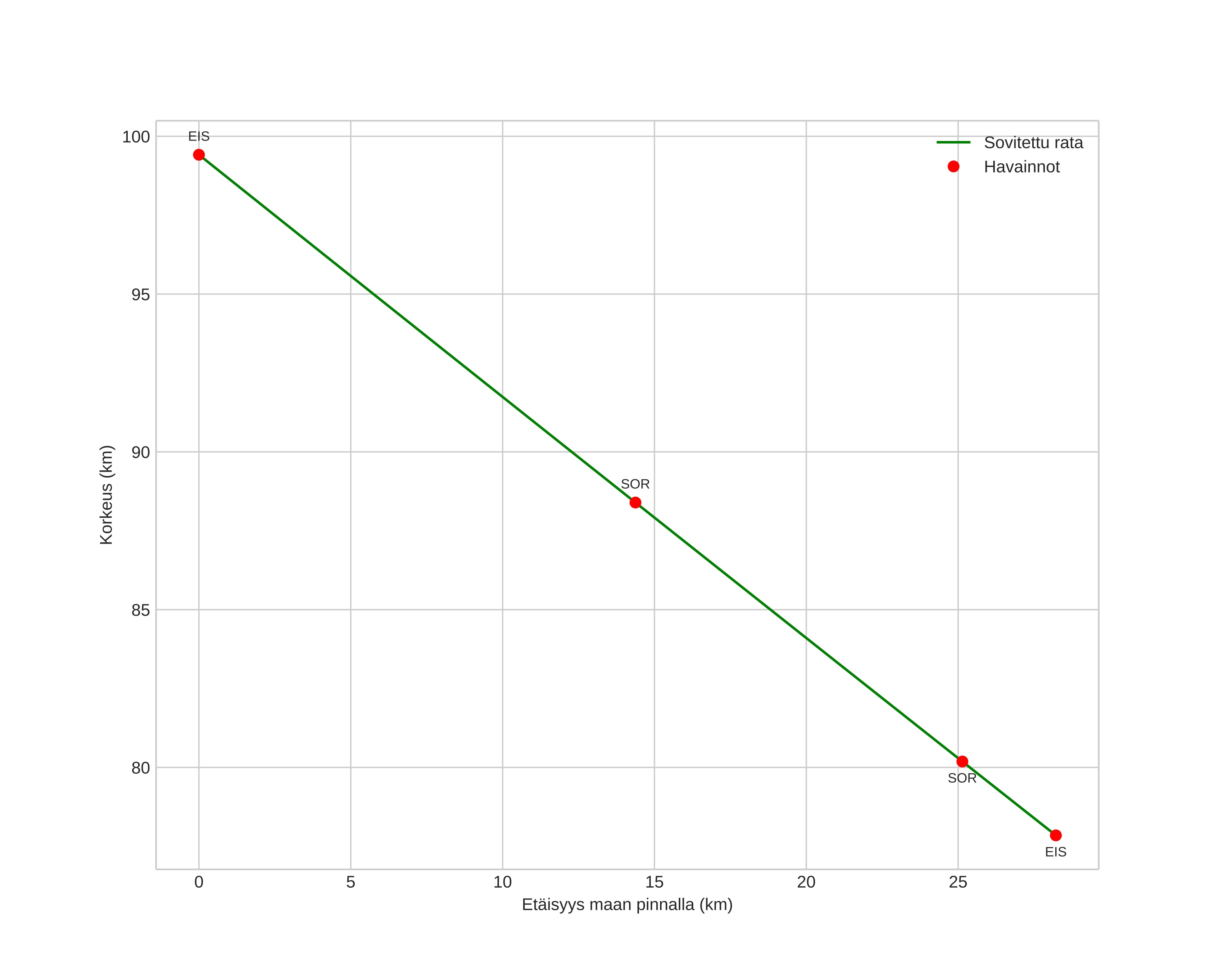
height profile
Meteorin ilmakehärata:
Alkukorkeus: 99,1 km
Loppukorkeus: 77,8 km
Alkupiste: 68,969N 20,228E
Loppupiste: 69,178N 19,842E
Suunta: 326,9°
Kallistuskulma: 37,3°
Tulonopeus: 30,1 km/s
Radiantin R,A,: 04:11 (62,8°)
Radiantin Dekl,: 17,0°
Meteoriparvi: Eteläiset tauridit
Meteoroidin rataelementit:
Perihelietäisyys: 0,443 AU
Eksentrisyys: 0,870
Inklinaatio: 4,1°
Nousevan solmun pituus: 58,2°
Perihelin argumentti: 100,7°
Keskianomalia: 353,5°
Epookki: 2022 NOV 20 21:02:33
orbit plot

Ei-interaktiivinen kuvaaja | Interaktiivinen kuvaaja

position vs time
speed and acceleration