🇳🇴 🇬🇧 🇩🇪 🇨🇿 🇫🇮

Meteor, poloha: Kárášjohka 2022-11-20 21:41:13 UTC

Soubor KML  |  InteraktivnĂ­ mapa

Mapa zobrazuje dráhy meteoru. Světlejší čáry ukazují směry od pozorovacích stanic při objevení se meteoru a tmavší čáry, kde byl naposledy viděn. Modrá šipka značí viditelnou dráhu meteoru.

static map
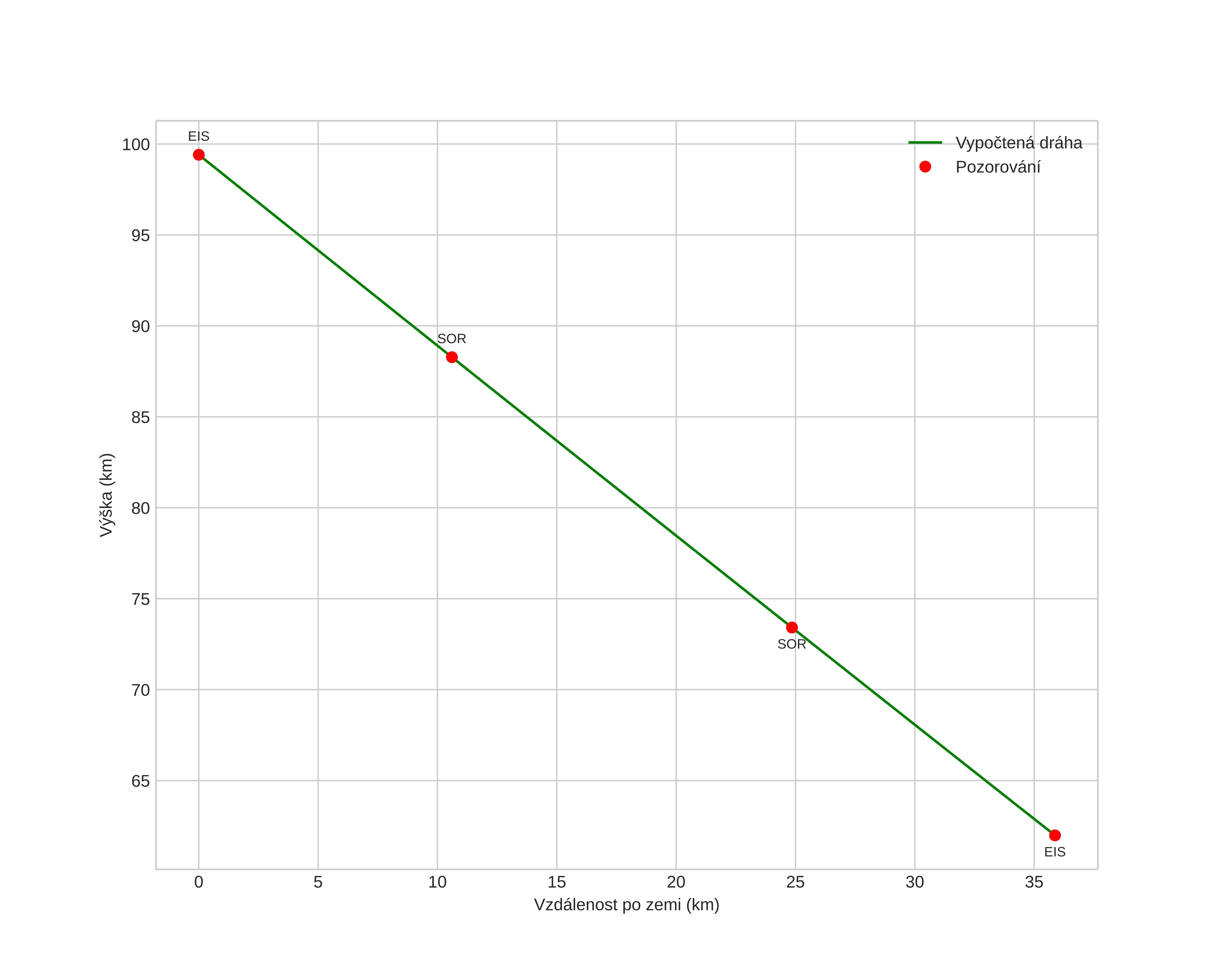
height profile
Atmosférická dráha meteoru:
Počáteční výška: 99,7 km
Konečná výška: 61,8 km
Počáteční poloha: 69,182N 25,682E
Konečná poloha: 68,870N 25,827E
Směr: 170,4°
Sklon: 47,1°
VstupnĂ­ rychlost: 35,5 km/s
Rektascenze radiantu: 16:32 (248,2°)
Deklinace radiantu: 66,3°
MeteorickĂ˝ roj: sporadickĂ˝
Elementy dráhy meteoroidu:
Vzdálenost v periheliu: 0,986 AU
Excentricita: 0,966
Sklon dráhy: 52,6°
Délka vzestupného uzlu: 238,2°
Argument perihelia: 175,4°
Střední anomálie: 0,0°
Epocha: 2022 NOV 20 21:41:13
orbit plot

NeinteraktivnĂ­ graf | InteraktivnĂ­ graf

position vs time
speed and acceleration