🇳🇴 🇬🇧 🇩🇪 🇨🇿 🇫🇮

Meteor Kárášjohkan yllä 2022-11-20 21:41:13 UTC

KML-tiedosto  |  Interaktiivinen kartta

Kartta näyttää meteorin suuntahavainnot. Vaaleammat viivat näyttävät suunnat havaintoasemilta meteorin ilmestyessä, ja tummemmat viivat näyttävät, missä se viimeksi nähtiin. Sininen nuoli näyttää meteorin näkyvän lennon.

static map
height profile
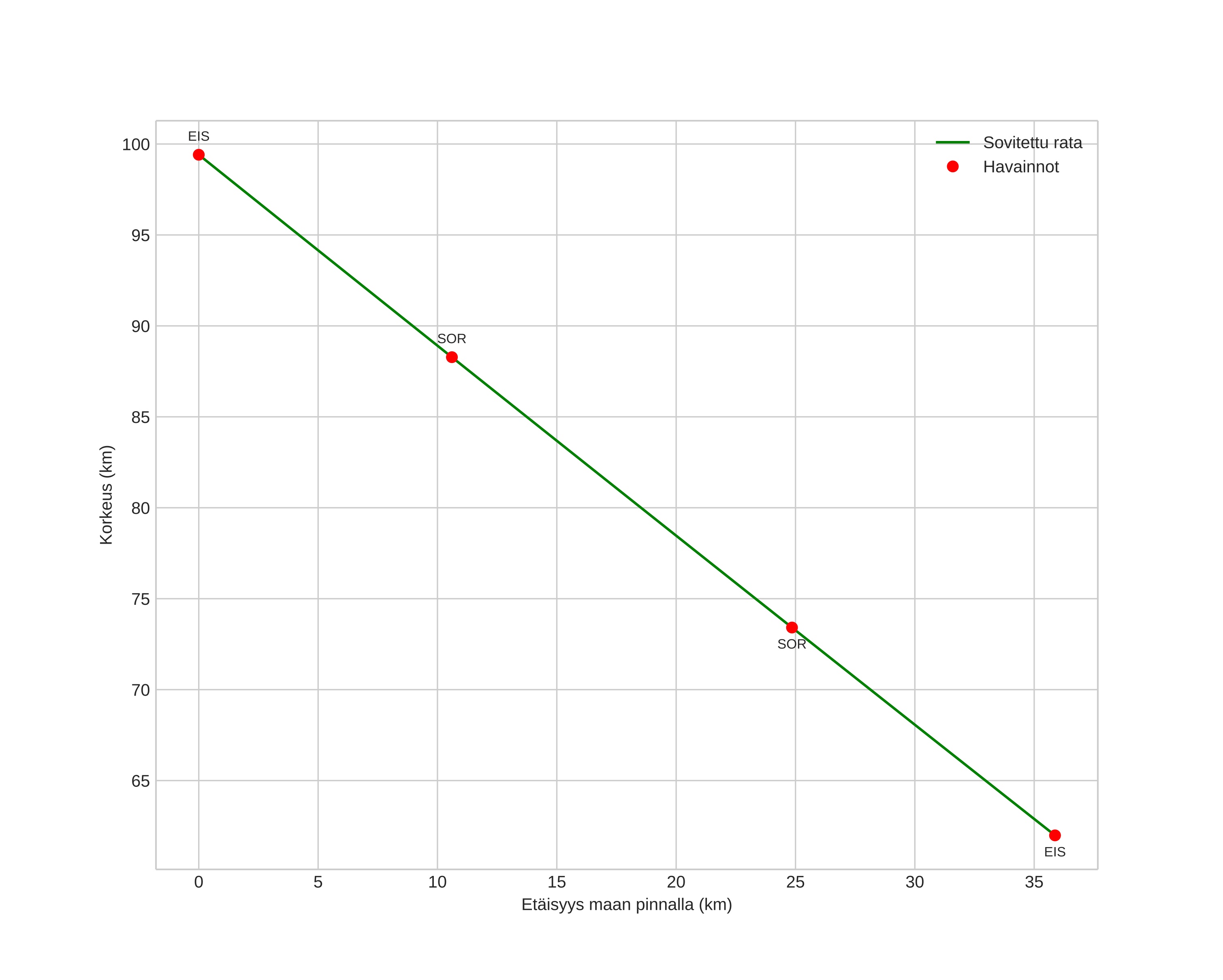
Meteorin ilmakehärata:
Alkukorkeus: 99,7 km
Loppukorkeus: 61,8 km
Alkupiste: 69,182N 25,682E
Loppupiste: 68,870N 25,827E
Suunta: 170,4°
Kallistuskulma: 47,1°
Tulonopeus: 35,5 km/s
Radiantin R,A,: 16:32 (248,2°)
Radiantin Dekl,: 66,3°
Meteoriparvi: Sporadinen
Meteoroidin rataelementit:
Perihelietäisyys: 0,986 AU
Eksentrisyys: 0,966
Inklinaatio: 52,6°
Nousevan solmun pituus: 238,2°
Perihelin argumentti: 175,4°
Keskianomalia: 0,0°
Epookki: 2022 NOV 20 21:41:13
orbit plot

Ei-interaktiivinen kuvaaja | Interaktiivinen kuvaaja

position vs time
speed and acceleration