🇳🇴 🇬🇧 🇩🇪 🇨🇿 🇫🇮

Meteor, poloha: Burfjord 2022-11-20 21:49:48 UTC

Soubor KML  |  InteraktivnĂ­ mapa

Mapa zobrazuje dráhy meteoru. Světlejší čáry ukazují směry od pozorovacích stanic při objevení se meteoru a tmavší čáry, kde byl naposledy viděn. Modrá šipka značí viditelnou dráhu meteoru.

static map
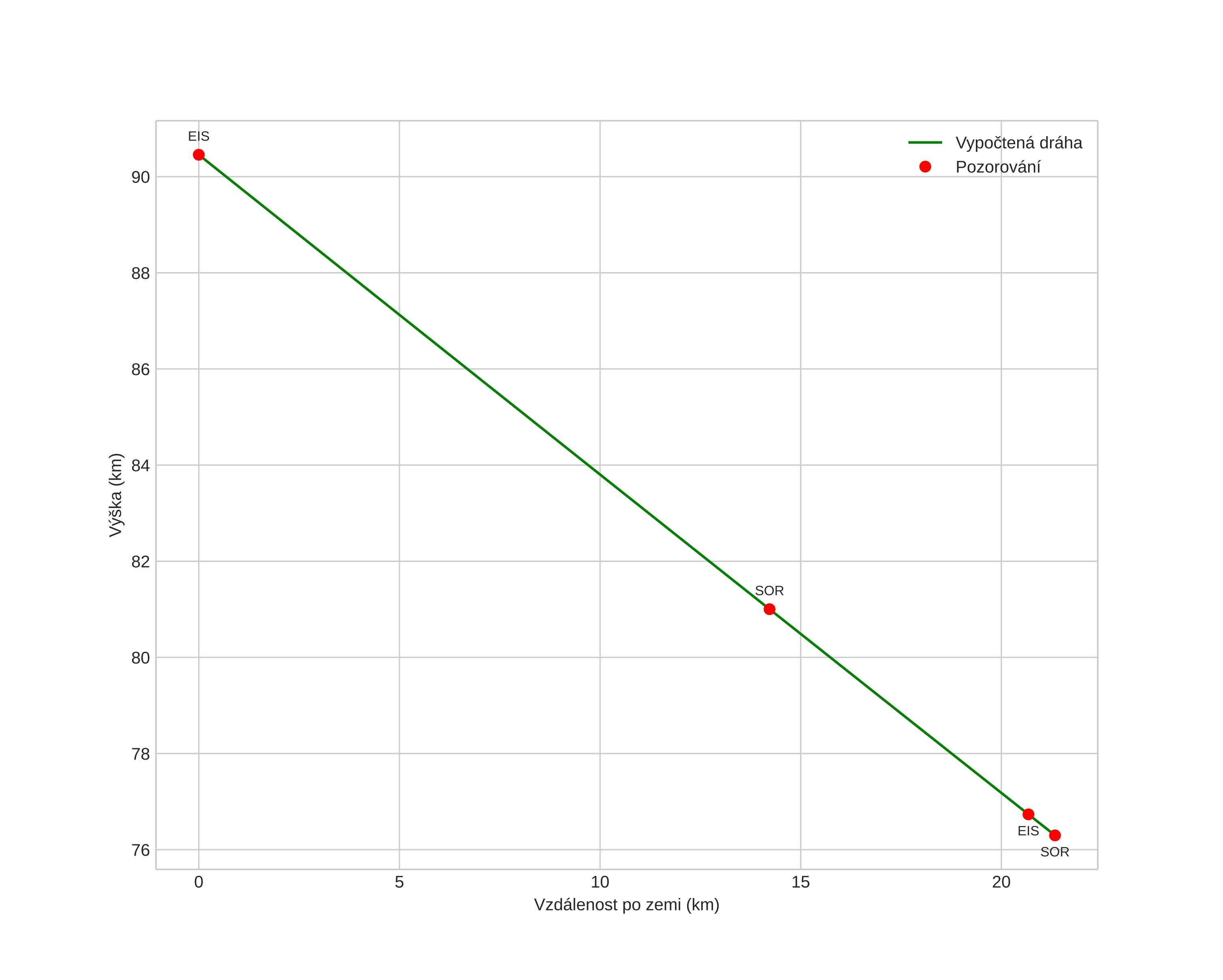
height profile
Atmosférická dráha meteoru:
Počáteční výška: 89,4 km
Konečná výška: 77,3 km
Počáteční poloha: 69,696N 21,591E
Konečná poloha: 69,897N 21,661E
Směr: 6,8°
Sklon: 28,2°
VstupnĂ­ rychlost: 23,3 km/s
Rektascenze radiantu: 02:47 (41,9°)
Deklinace radiantu: 3,6°
MeteorickĂ˝ roj: sporadickĂ˝
Elementy dráhy meteoroidu:
Vzdálenost v periheliu: 0,760 AU
Excentricita: 0,928
Sklon dráhy: 6,7°
Délka vzestupného uzlu: 58,3°
Argument perihelia: 58,6°
Střední anomálie: 359,0°
Epocha: 2022 NOV 20 21:49:48
orbit plot

NeinteraktivnĂ­ graf | InteraktivnĂ­ graf

position vs time
speed and acceleration