🇳🇴 🇬🇧 🇩🇪 🇨🇿 🇫🇮

Meteor Burfjordin yllä 2022-11-20 21:49:48 UTC

KML-tiedosto  |  Interaktiivinen kartta

Kartta näyttää meteorin suuntahavainnot. Vaaleammat viivat näyttävät suunnat havaintoasemilta meteorin ilmestyessä, ja tummemmat viivat näyttävät, missä se viimeksi nähtiin. Sininen nuoli näyttää meteorin näkyvän lennon.

static map
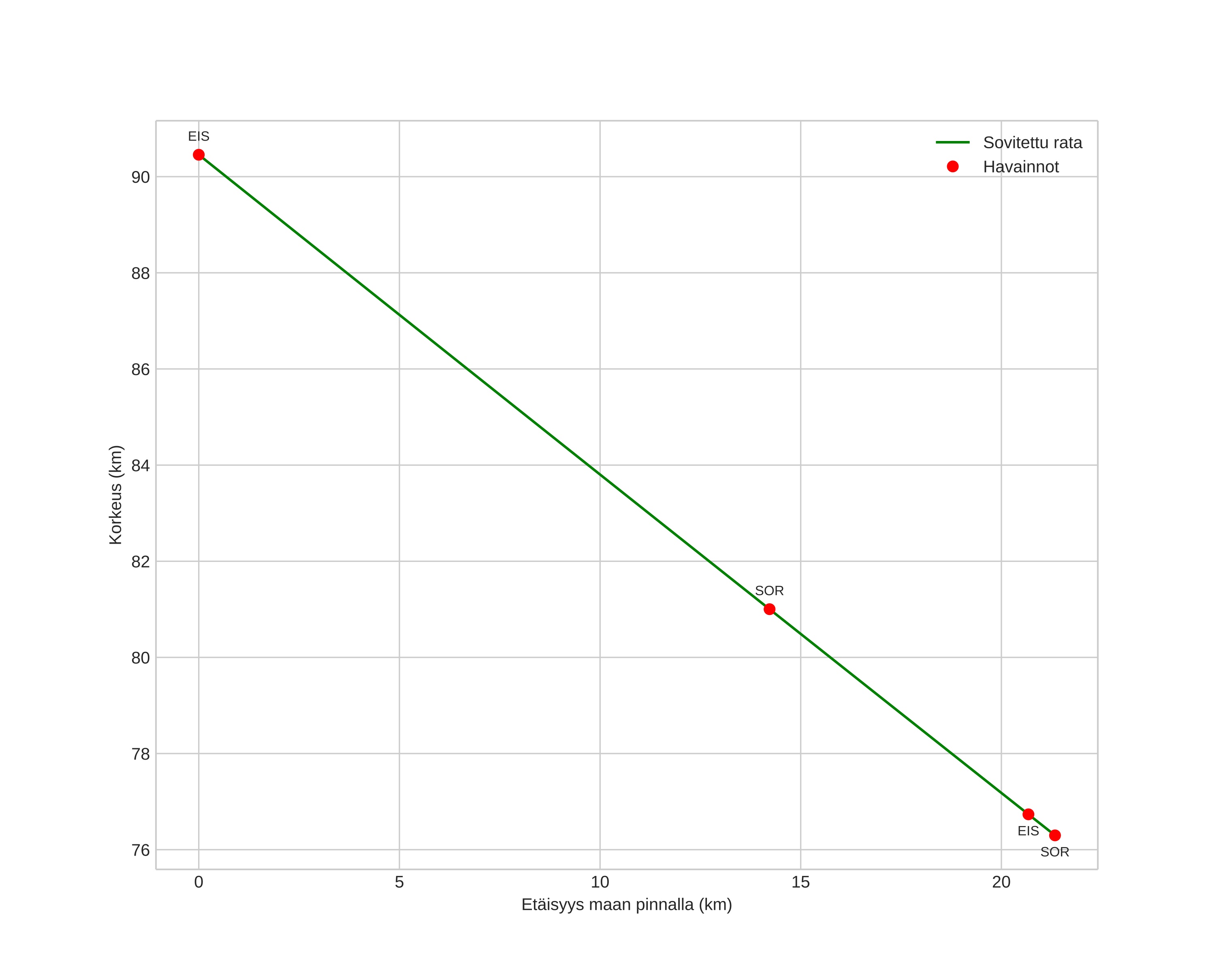
height profile
Meteorin ilmakehärata:
Alkukorkeus: 89,4 km
Loppukorkeus: 77,3 km
Alkupiste: 69,696N 21,591E
Loppupiste: 69,897N 21,661E
Suunta: 6,8°
Kallistuskulma: 28,2°
Tulonopeus: 23,3 km/s
Radiantin R,A,: 02:47 (41,9°)
Radiantin Dekl,: 3,6°
Meteoriparvi: Sporadinen
Meteoroidin rataelementit:
Perihelietäisyys: 0,760 AU
Eksentrisyys: 0,928
Inklinaatio: 6,7°
Nousevan solmun pituus: 58,3°
Perihelin argumentti: 58,6°
Keskianomalia: 359,0°
Epookki: 2022 NOV 20 21:49:48
orbit plot

Ei-interaktiivinen kuvaaja | Interaktiivinen kuvaaja

position vs time
speed and acceleration