🇳🇴 🇬🇧 🇩🇪 🇨🇿 🇫🇮

Meteor, poloha: Enontekiö 2022-11-21 00:43:54 UTC

Soubor KML  |  InteraktivnĂ­ mapa

Mapa zobrazuje dráhy meteoru. Světlejší čáry ukazují směry od pozorovacích stanic při objevení se meteoru a tmavší čáry, kde byl naposledy viděn. Modrá šipka značí viditelnou dráhu meteoru.

static map
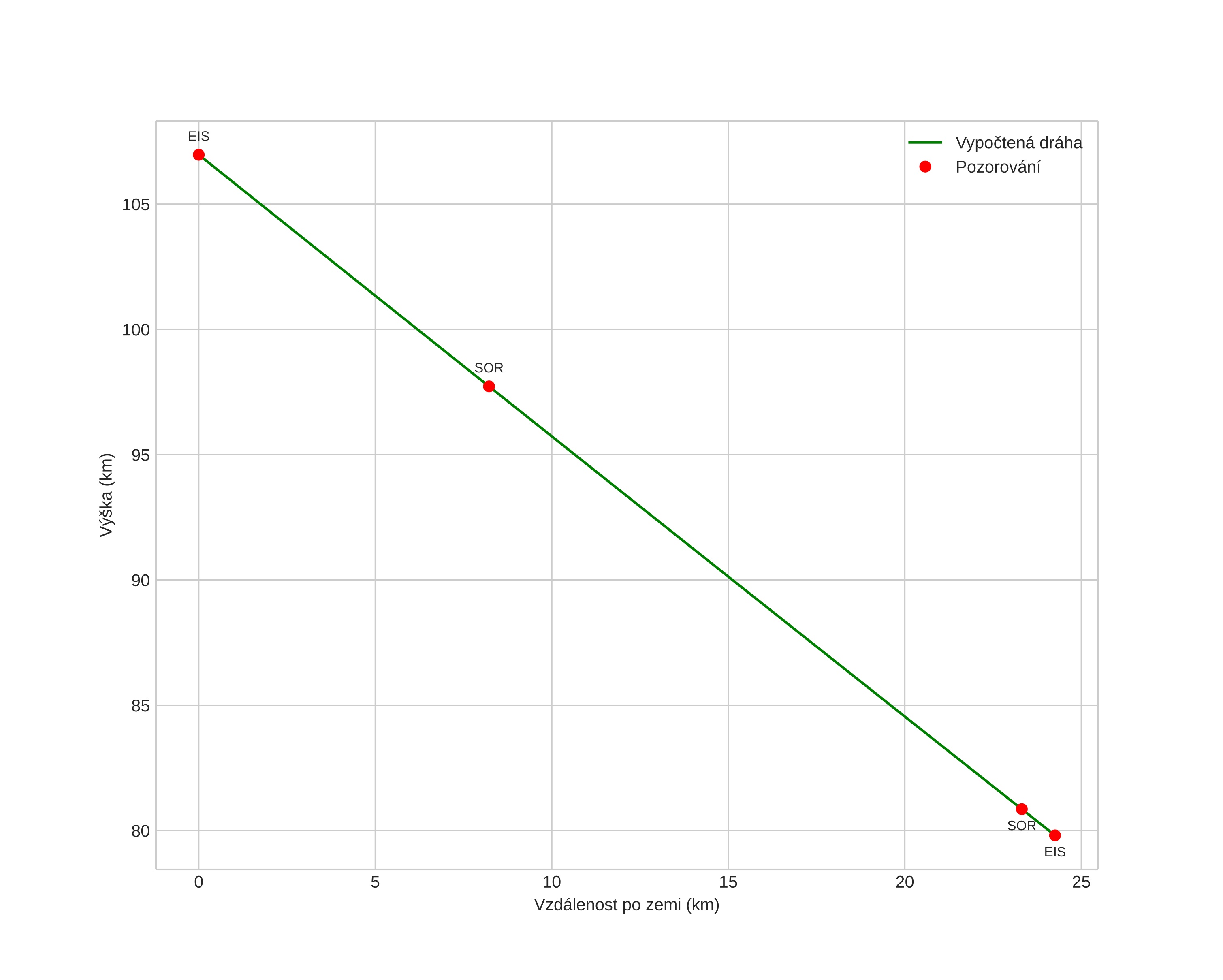
height profile
Atmosférická dráha meteoru:
Počáteční výška: 108,8 km
Konečná výška: 79,3 km
Počáteční poloha: 68,185N 23,687E
Konečná poloha: 68,412N 23,845E
Směr: 14,4°
Sklon: 48,6°
VstupnĂ­ rychlost: 50,3 km/s
Rektascenze radiantu: 05:33 (83,3°)
Deklinace radiantu: 26,6°
MeteorickĂ˝ roj: sporadickĂ˝
Elementy dráhy meteoroidu:
Vzdálenost v periheliu: 0,048 AU
Excentricita: 1,015
Sklon dráhy: 17,6°
Délka vzestupného uzlu: 238,4°
Argument perihelia: 332,8°
Střední anomálie: -4,7°
Epocha: 2022 NOV 21 00:43:54
orbit plot

NeinteraktivnĂ­ graf | InteraktivnĂ­ graf

position vs time
speed and acceleration