🇳🇴 🇬🇧 🇩🇪 🇨🇿 🇫🇮

Meteor Enontekiöin yllä 2022-11-21 00:43:54 UTC

KML-tiedosto  |  Interaktiivinen kartta

Kartta näyttää meteorin suuntahavainnot. Vaaleammat viivat näyttävät suunnat havaintoasemilta meteorin ilmestyessä, ja tummemmat viivat näyttävät, missä se viimeksi nähtiin. Sininen nuoli näyttää meteorin näkyvän lennon.

static map
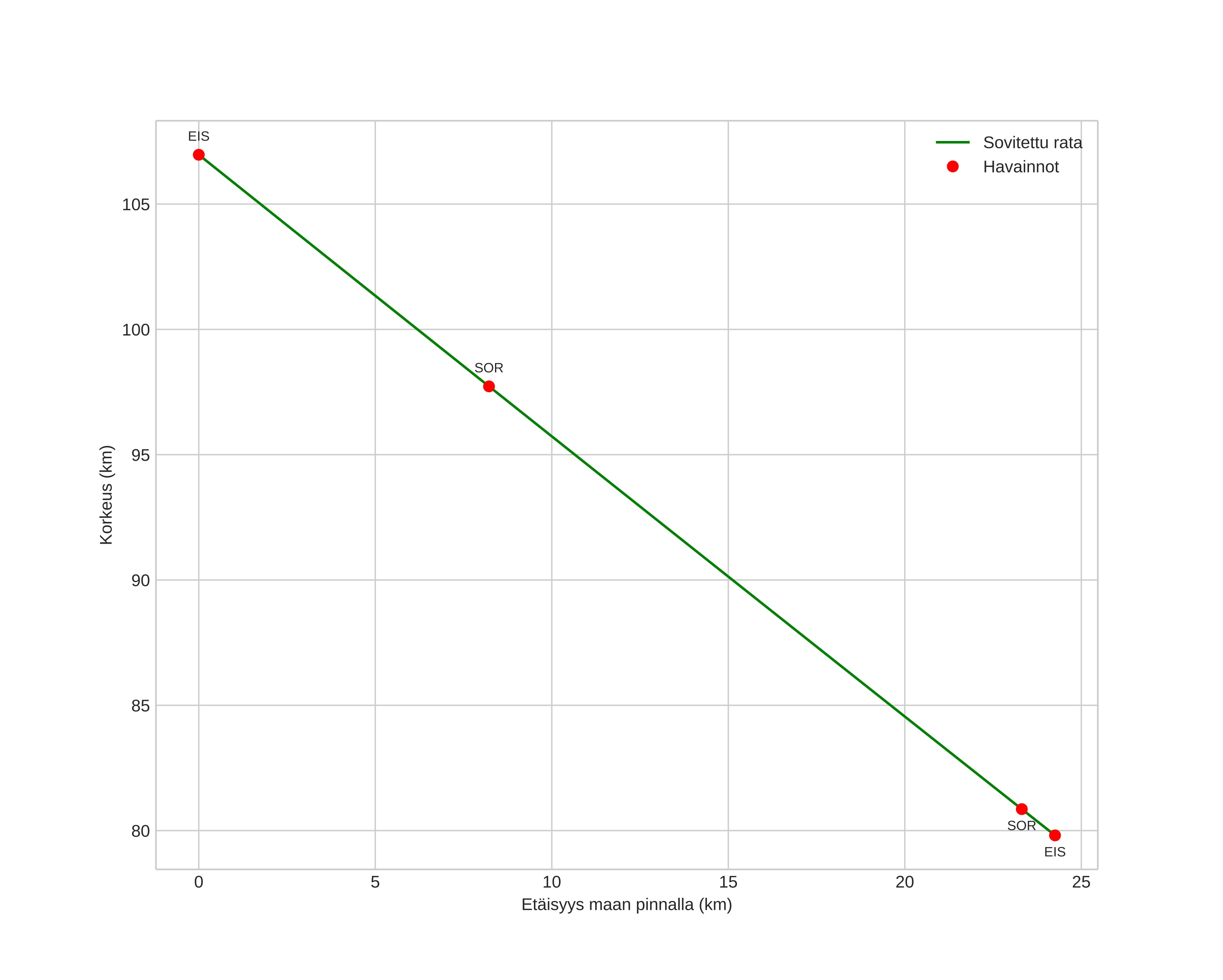
height profile
Meteorin ilmakehärata:
Alkukorkeus: 108,8 km
Loppukorkeus: 79,3 km
Alkupiste: 68,185N 23,687E
Loppupiste: 68,412N 23,845E
Suunta: 14,4°
Kallistuskulma: 48,6°
Tulonopeus: 50,3 km/s
Radiantin R,A,: 05:33 (83,3°)
Radiantin Dekl,: 26,6°
Meteoriparvi: Sporadinen
Meteoroidin rataelementit:
Perihelietäisyys: 0,048 AU
Eksentrisyys: 1,015
Inklinaatio: 17,6°
Nousevan solmun pituus: 238,4°
Perihelin argumentti: 332,8°
Keskianomalia: -4,7°
Epookki: 2022 NOV 21 00:43:54
orbit plot

Ei-interaktiivinen kuvaaja | Interaktiivinen kuvaaja

position vs time
speed and acceleration