🇳🇴 🇬🇧 🇩🇪 🇨🇿 🇫🇮

Meteor, poloha: Myre 2022-11-21 02:56:38 UTC

Soubor KML  |  InteraktivnĂ­ mapa

Mapa zobrazuje dráhy meteoru. Světlejší čáry ukazují směry od pozorovacích stanic při objevení se meteoru a tmavší čáry, kde byl naposledy viděn. Modrá šipka značí viditelnou dráhu meteoru.

static map
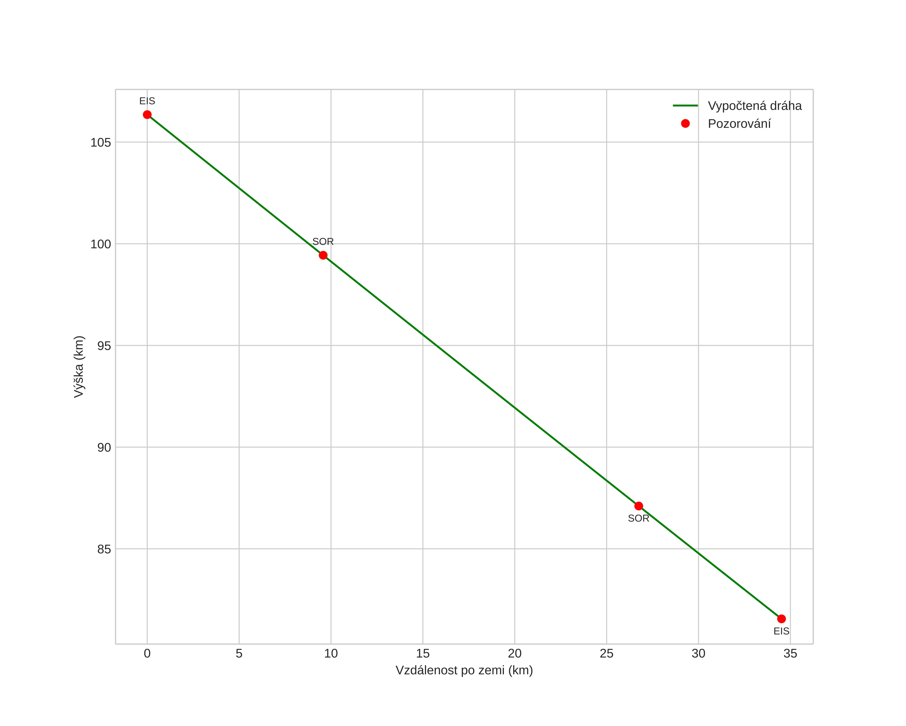
height profile
Atmosférická dráha meteoru:
Počáteční výška: 105,5 km
Konečná výška: 80,3 km
Počáteční poloha: 69,253N 15,552E
Konečná poloha: 69,063N 14,913E
Směr: 230,3°
Sklon: 37,4°
VstupnĂ­ rychlost: 38,1 km/s
Rektascenze radiantu: 15:33 (233,4°)
Deklinace radiantu: 47,5°
MeteorickĂ˝ roj: sporadickĂ˝
Elementy dráhy meteoroidu:
Vzdálenost v periheliu: 0,874 AU
Excentricita: 0,909
Sklon dráhy: 56,4°
Délka vzestupného uzlu: 238,5°
Argument perihelia: 139,3°
Střední anomálie: 0,9°
Epocha: 2022 NOV 21 02:56:38
orbit plot

NeinteraktivnĂ­ graf | InteraktivnĂ­ graf

position vs time
speed and acceleration