🇳🇴 🇬🇧 🇩🇪 🇨🇿 🇫🇮

Meteor Myren yllä 2022-11-21 02:56:38 UTC

KML-tiedosto  |  Interaktiivinen kartta

Kartta näyttää meteorin suuntahavainnot. Vaaleammat viivat näyttävät suunnat havaintoasemilta meteorin ilmestyessä, ja tummemmat viivat näyttävät, missä se viimeksi nähtiin. Sininen nuoli näyttää meteorin näkyvän lennon.

static map
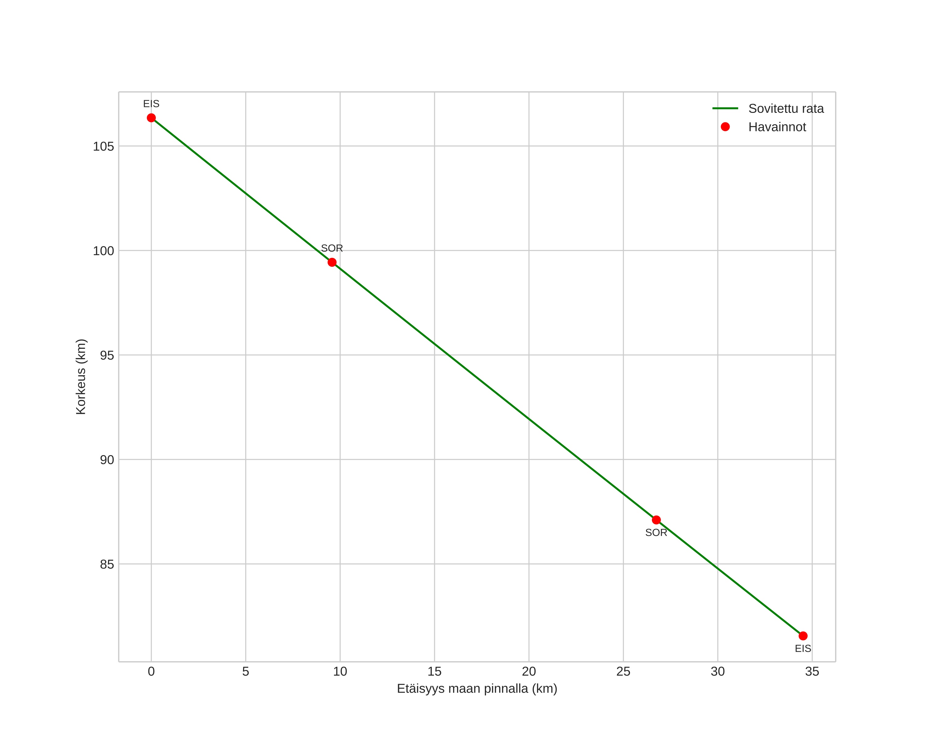
height profile
Meteorin ilmakehärata:
Alkukorkeus: 105,5 km
Loppukorkeus: 80,3 km
Alkupiste: 69,253N 15,552E
Loppupiste: 69,063N 14,913E
Suunta: 230,3°
Kallistuskulma: 37,4°
Tulonopeus: 38,1 km/s
Radiantin R,A,: 15:33 (233,4°)
Radiantin Dekl,: 47,5°
Meteoriparvi: Sporadinen
Meteoroidin rataelementit:
Perihelietäisyys: 0,874 AU
Eksentrisyys: 0,909
Inklinaatio: 56,4°
Nousevan solmun pituus: 238,5°
Perihelin argumentti: 139,3°
Keskianomalia: 0,9°
Epookki: 2022 NOV 21 02:56:38
orbit plot

Ei-interaktiivinen kuvaaja | Interaktiivinen kuvaaja

position vs time
speed and acceleration