🇳🇴 🇬🇧 🇩🇪 🇨🇿 🇫🇮

Meteor, poloha: Hamnvik 2022-11-21 05:08:32 UTC

Soubor KML  |  InteraktivnĂ­ mapa

Mapa zobrazuje dráhy meteoru. Světlejší čáry ukazují směry od pozorovacích stanic při objevení se meteoru a tmavší čáry, kde byl naposledy viděn. Modrá šipka značí viditelnou dráhu meteoru.

static map
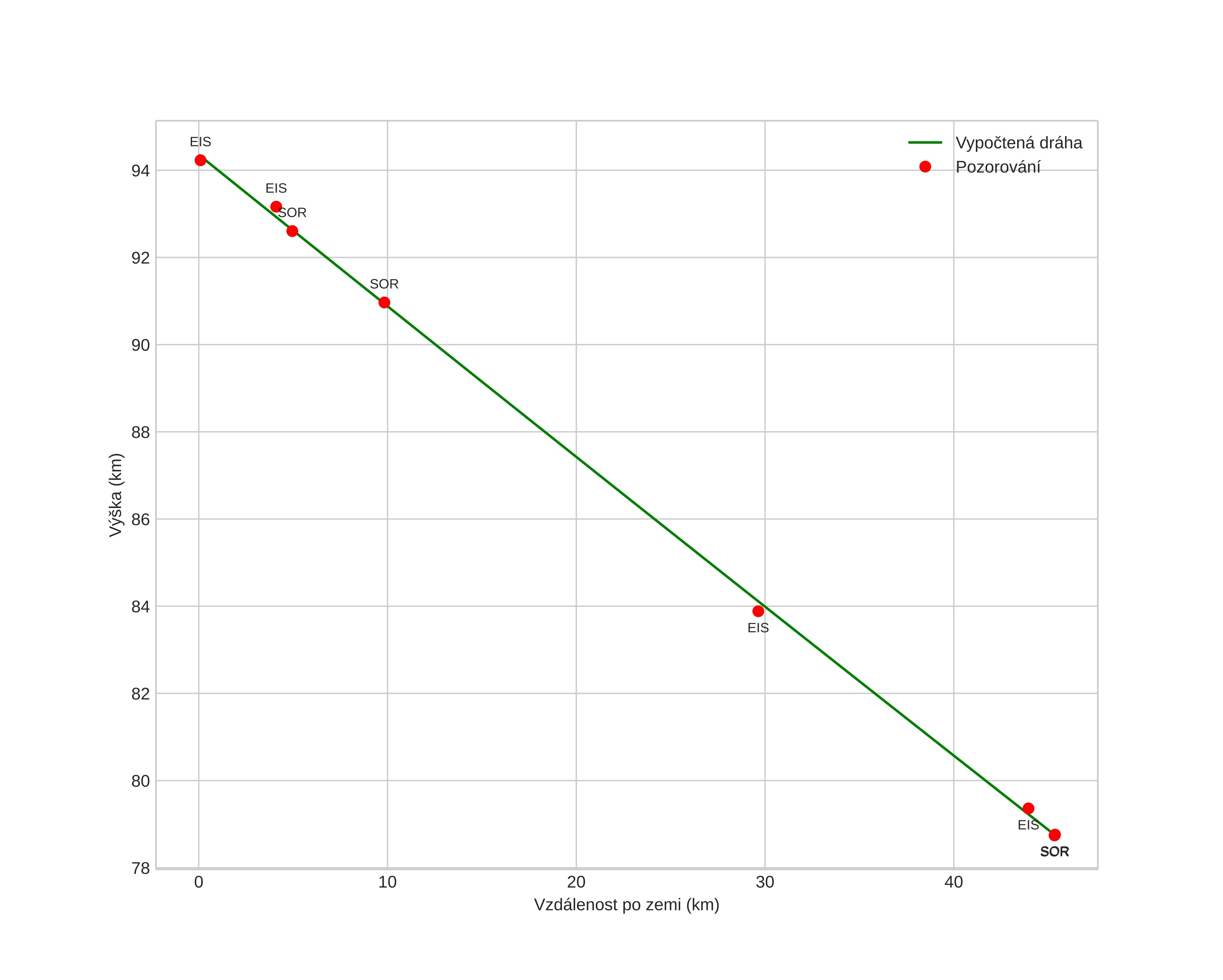
height profile
Atmosférická dráha meteoru:
Počáteční výška: 95,0 km
Konečná výška: 78,8 km
Počáteční poloha: 68,988N 15,848E
Konečná poloha: 68,950N 17,013E
Směr: 94,7°
Sklon: 19,1°
VstupnĂ­ rychlost: 28,9 km/s
Rektascenze radiantu: 04:17 (64,3°)
Deklinace radiantu: 16,3°
MeteorickĂ˝ roj: SevernĂ­ Tauridy
Elementy dráhy meteoroidu:
Vzdálenost v periheliu: 0,441 AU
Excentricita: 0,831
Sklon dráhy: 4,9°
Délka vzestupného uzlu: 58,6°
Argument perihelia: 102,6°
Střední anomálie: 350,0°
Epocha: 2022 NOV 21 05:08:32
orbit plot

NeinteraktivnĂ­ graf | InteraktivnĂ­ graf

position vs time
speed and acceleration