🇳🇴 🇬🇧 🇩🇪 🇨🇿 🇫🇮

Meteor über Hamnvik 2022-11-21 05:08:32 UTC

KML-Datei  |  Interaktive Karte

Die Karte zeigt die Peilungen für den Meteor. Die helleren Linien zeigen die Richtungen von den Beobachtungsorten beim Erscheinen des Meteors, und die dunkleren Linien, wo er zuletzt gesehen wurde. Der blaue Pfeil zeigt die sichtbare Bahn des Meteors.

static map
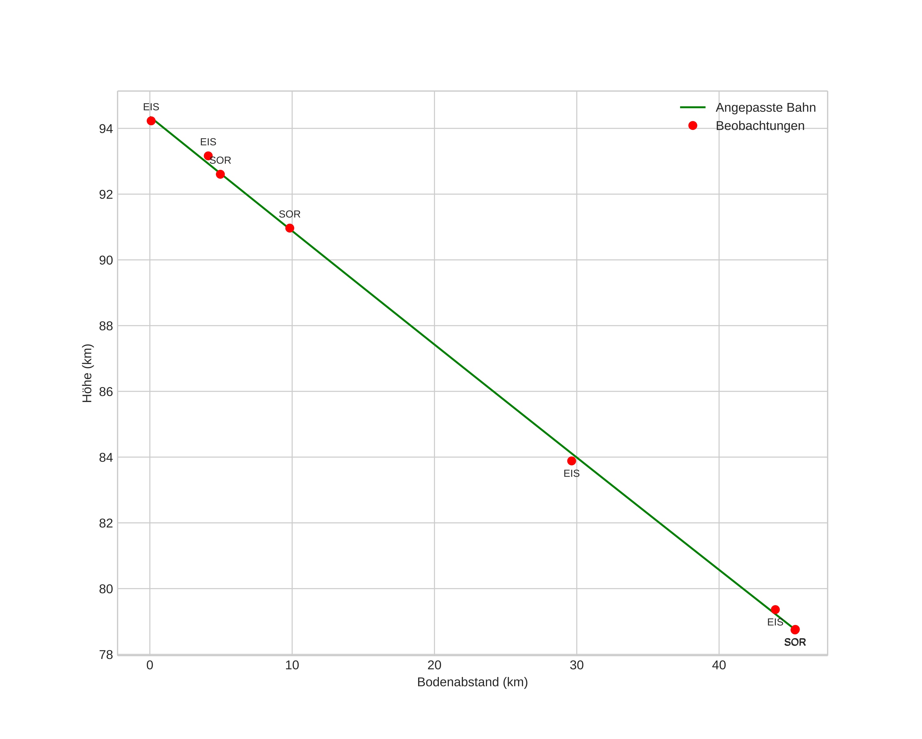
height profile
Atmosphärische Bahn des Meteors:
Anfangshöhe: 95,0 km
Endhöhe: 78,8 km
Startposition: 68,988N 15,848E
Endposition: 68,950N 17,013E
Richtung: 94,7°
Neigungswinkel: 19,1°
Eintrittsgeschwindigkeit: 28,9 km/s
Rektaszension des Radianten: 04:17 (64,3°)
Deklination des Radianten: 16,3°
Meteorstrom: Nördliche Tauriden
Bahnelemente des Meteoroiden:
Periheldistanz: 0,441 AU
Exzentrizität: 0,831
Inklination: 4,9°
Länge des aufsteigenden Knotens: 58,6°
Argument des Perihels: 102,6°
Mittlere Anomalie: 350,0°
Epoche: 2022 NOV 21 05:08:32
orbit plot

Nicht-interaktives Diagramm | Interaktives Diagramm

position vs time
speed and acceleration