🇳🇴 🇬🇧 🇩🇪 🇨🇿 🇫🇮

Meteor, poloha: Lødingen 2022-11-21 17:54:34 UTC

Soubor KML  |  InteraktivnĂ­ mapa

Mapa zobrazuje dráhy meteoru. Světlejší čáry ukazují směry od pozorovacích stanic při objevení se meteoru a tmavší čáry, kde byl naposledy viděn. Modrá šipka značí viditelnou dráhu meteoru.

static map
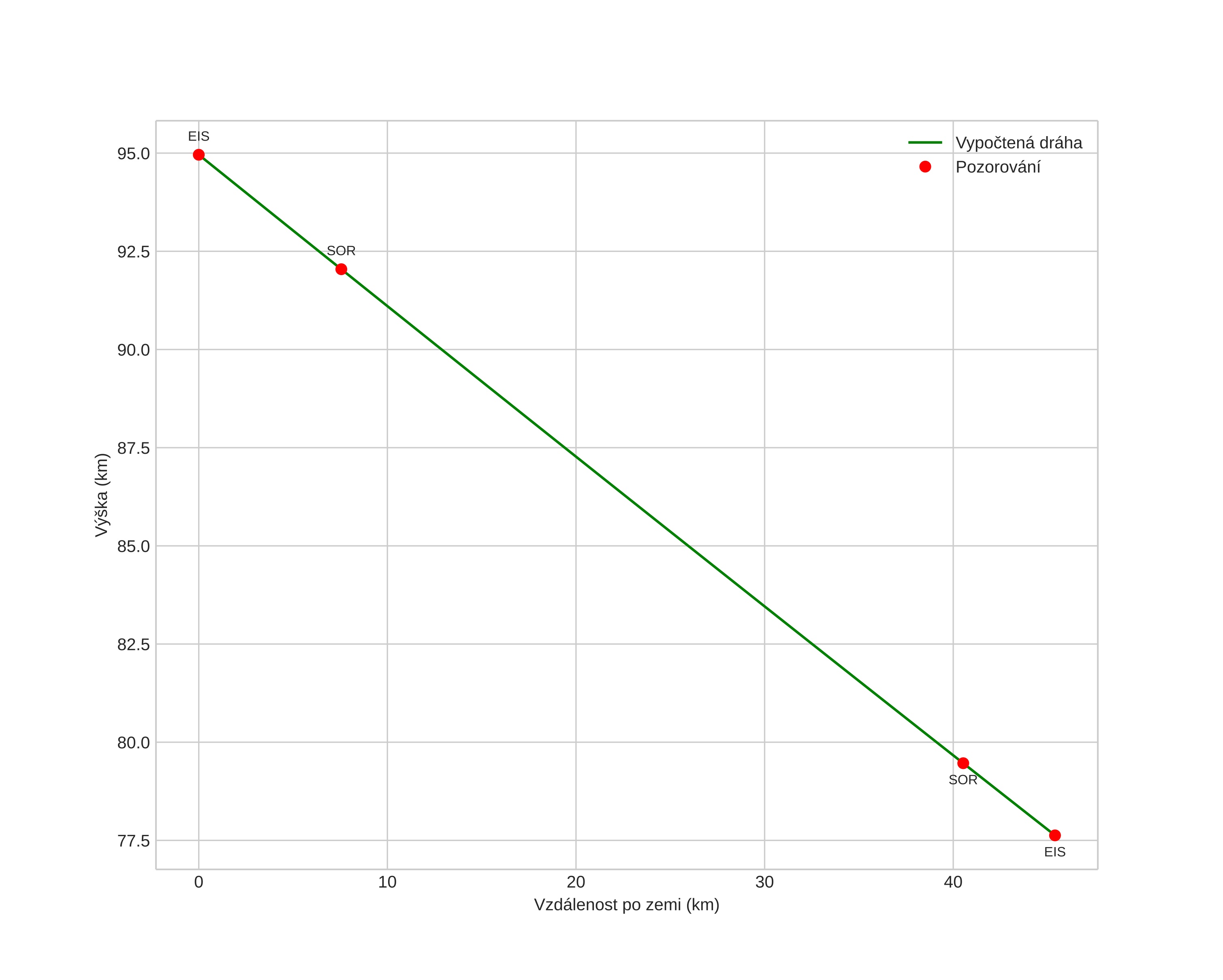
height profile
Atmosférická dráha meteoru:
Počáteční výška: 97,8 km
Konečná výška: 77,5 km
Počáteční poloha: 68,328N 17,103E
Konečná poloha: 68,378N 15,876E
Směr: 276,9°
Sklon: 21,9°
VstupnĂ­ rychlost: 27,0 km/s
Rektascenze radiantu: 04:10 (62,7°)
Deklinace radiantu: 14,5°
MeteorickĂ˝ roj: SevernĂ­ Tauridy
Elementy dráhy meteoroidu:
Vzdálenost v periheliu: 0,498 AU
Excentricita: 0,784
Sklon dráhy: 5,6°
Délka vzestupného uzlu: 59,1°
Argument perihelia: 97,3°
Střední anomálie: 347,6°
Epocha: 2022 NOV 21 17:54:34
orbit plot

NeinteraktivnĂ­ graf | InteraktivnĂ­ graf

position vs time
speed and acceleration