🇳🇴 🇬🇧 🇩🇪 🇨🇿 🇫🇮

Meteor Lødingenin yllä 2022-11-21 17:54:34 UTC

KML-tiedosto  |  Interaktiivinen kartta

Kartta näyttää meteorin suuntahavainnot. Vaaleammat viivat näyttävät suunnat havaintoasemilta meteorin ilmestyessä, ja tummemmat viivat näyttävät, missä se viimeksi nähtiin. Sininen nuoli näyttää meteorin näkyvän lennon.

static map
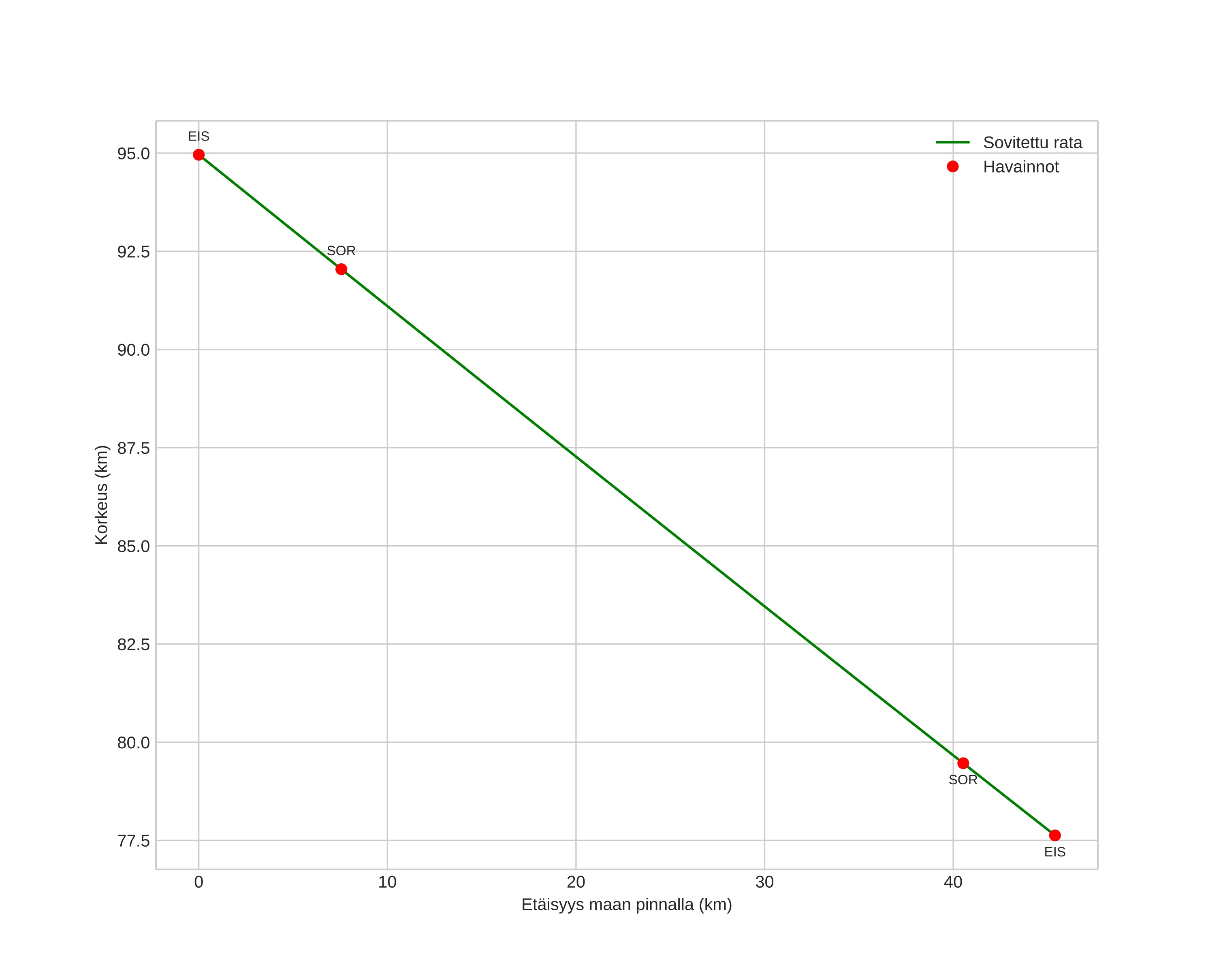
height profile
Meteorin ilmakehärata:
Alkukorkeus: 97,8 km
Loppukorkeus: 77,5 km
Alkupiste: 68,328N 17,103E
Loppupiste: 68,378N 15,876E
Suunta: 276,9°
Kallistuskulma: 21,9°
Tulonopeus: 27,0 km/s
Radiantin R,A,: 04:10 (62,7°)
Radiantin Dekl,: 14,5°
Meteoriparvi: Pohjoiset tauridit
Meteoroidin rataelementit:
Perihelietäisyys: 0,498 AU
Eksentrisyys: 0,784
Inklinaatio: 5,6°
Nousevan solmun pituus: 59,1°
Perihelin argumentti: 97,3°
Keskianomalia: 347,6°
Epookki: 2022 NOV 21 17:54:34
orbit plot

Ei-interaktiivinen kuvaaja | Interaktiivinen kuvaaja

position vs time
speed and acceleration