🇳🇴 🇬🇧 🇩🇪 🇨🇿 🇫🇮

Meteor, poloha: Setermoen 2022-11-21 20:28:40 UTC

Soubor KML  |  InteraktivnĂ­ mapa

Mapa zobrazuje dráhy meteoru. Světlejší čáry ukazují směry od pozorovacích stanic při objevení se meteoru a tmavší čáry, kde byl naposledy viděn. Modrá šipka značí viditelnou dráhu meteoru.

static map
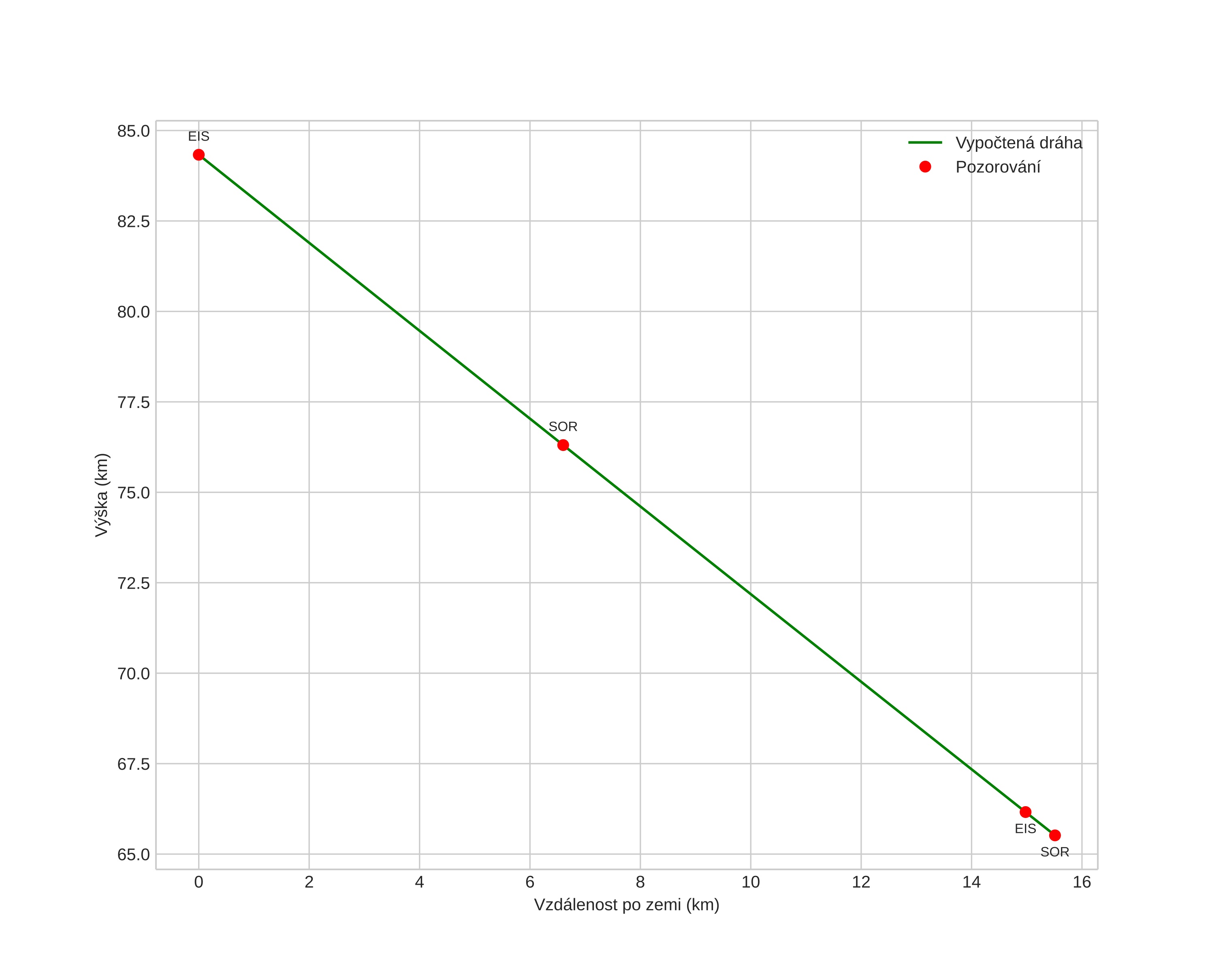
height profile
Atmosférická dráha meteoru:
Počáteční výška: 83,4 km
Konečná výška: 65,0 km
Počáteční poloha: 67,407N 18,928E
Konečná poloha: 67,517N 18,692E
Směr: 320,6°
Sklon: 49,4°
VstupnĂ­ rychlost: 19,8 km/s
Rektascenze radiantu: 03:43 (55,8°)
Deklinace radiantu: 26,6°
MeteorickĂ˝ roj: sporadickĂ˝
Elementy dráhy meteoroidu:
Vzdálenost v periheliu: 0,641 AU
Excentricita: 0,554
Sklon dráhy: 3,6°
Délka vzestupného uzlu: 239,1°
Argument perihelia: 269,2°
Střední anomálie: 330,6°
Epocha: 2022 NOV 21 20:28:40
orbit plot

NeinteraktivnĂ­ graf | InteraktivnĂ­ graf

position vs time
speed and acceleration