🇳🇴 🇬🇧 🇩🇪 🇨🇿 🇫🇮

Meteor Setermoenin yllä 2022-11-21 20:28:40 UTC

KML-tiedosto  |  Interaktiivinen kartta

Kartta näyttää meteorin suuntahavainnot. Vaaleammat viivat näyttävät suunnat havaintoasemilta meteorin ilmestyessä, ja tummemmat viivat näyttävät, missä se viimeksi nähtiin. Sininen nuoli näyttää meteorin näkyvän lennon.

static map
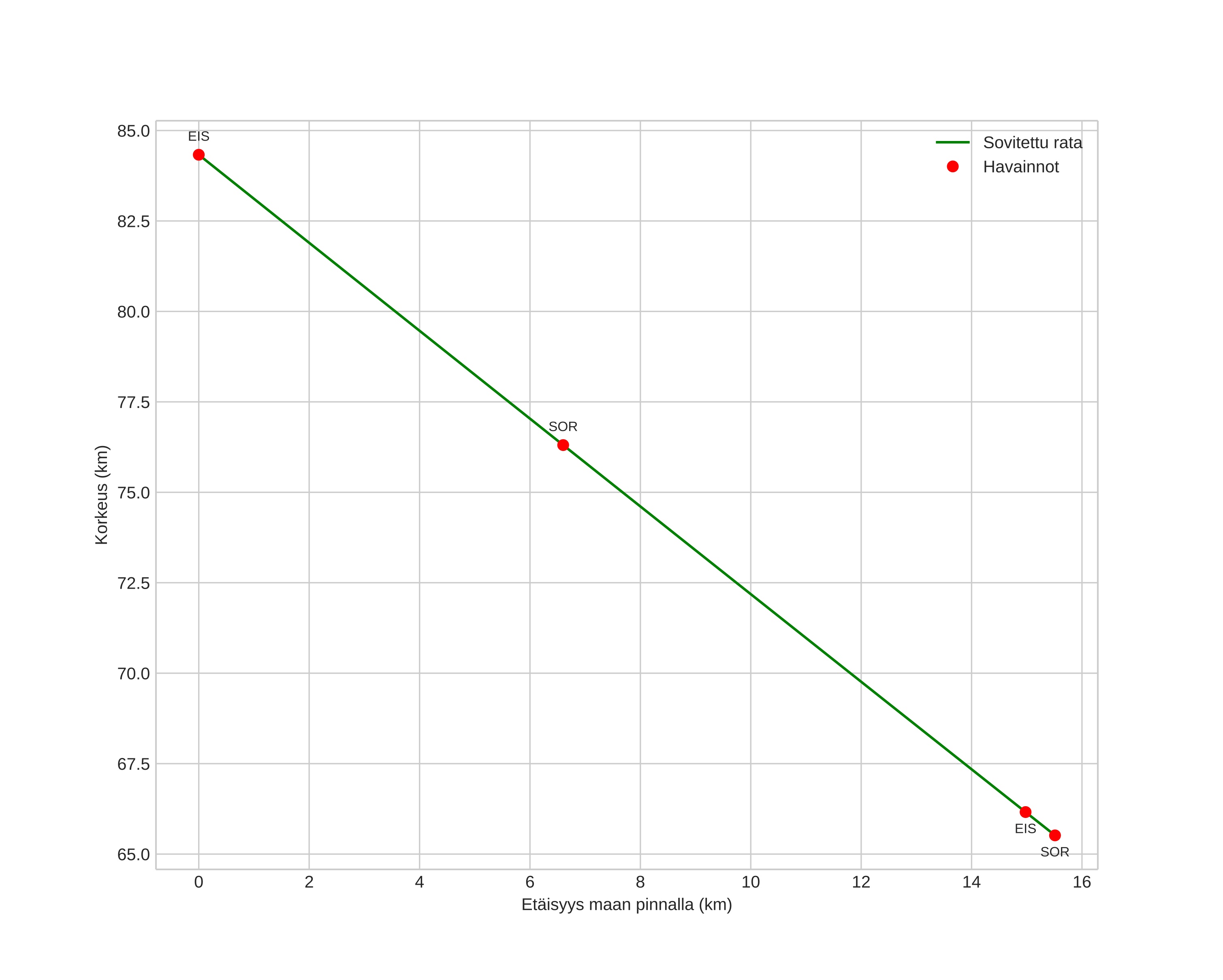
height profile
Meteorin ilmakehärata:
Alkukorkeus: 83,4 km
Loppukorkeus: 65,0 km
Alkupiste: 67,407N 18,928E
Loppupiste: 67,517N 18,692E
Suunta: 320,6°
Kallistuskulma: 49,4°
Tulonopeus: 19,8 km/s
Radiantin R,A,: 03:43 (55,8°)
Radiantin Dekl,: 26,6°
Meteoriparvi: Sporadinen
Meteoroidin rataelementit:
Perihelietäisyys: 0,641 AU
Eksentrisyys: 0,554
Inklinaatio: 3,6°
Nousevan solmun pituus: 239,1°
Perihelin argumentti: 269,2°
Keskianomalia: 330,6°
Epookki: 2022 NOV 21 20:28:40
orbit plot

Ei-interaktiivinen kuvaaja | Interaktiivinen kuvaaja

position vs time
speed and acceleration