🇳🇴 🇬🇧 🇩🇪 🇨🇿 🇫🇮

Meteor, poloha: Storsteinnes 2022-11-21 20:41:17 UTC

Soubor KML  |  InteraktivnĂ­ mapa

Mapa zobrazuje dráhy meteoru. Světlejší čáry ukazují směry od pozorovacích stanic při objevení se meteoru a tmavší čáry, kde byl naposledy viděn. Modrá šipka značí viditelnou dráhu meteoru.

static map
height profile
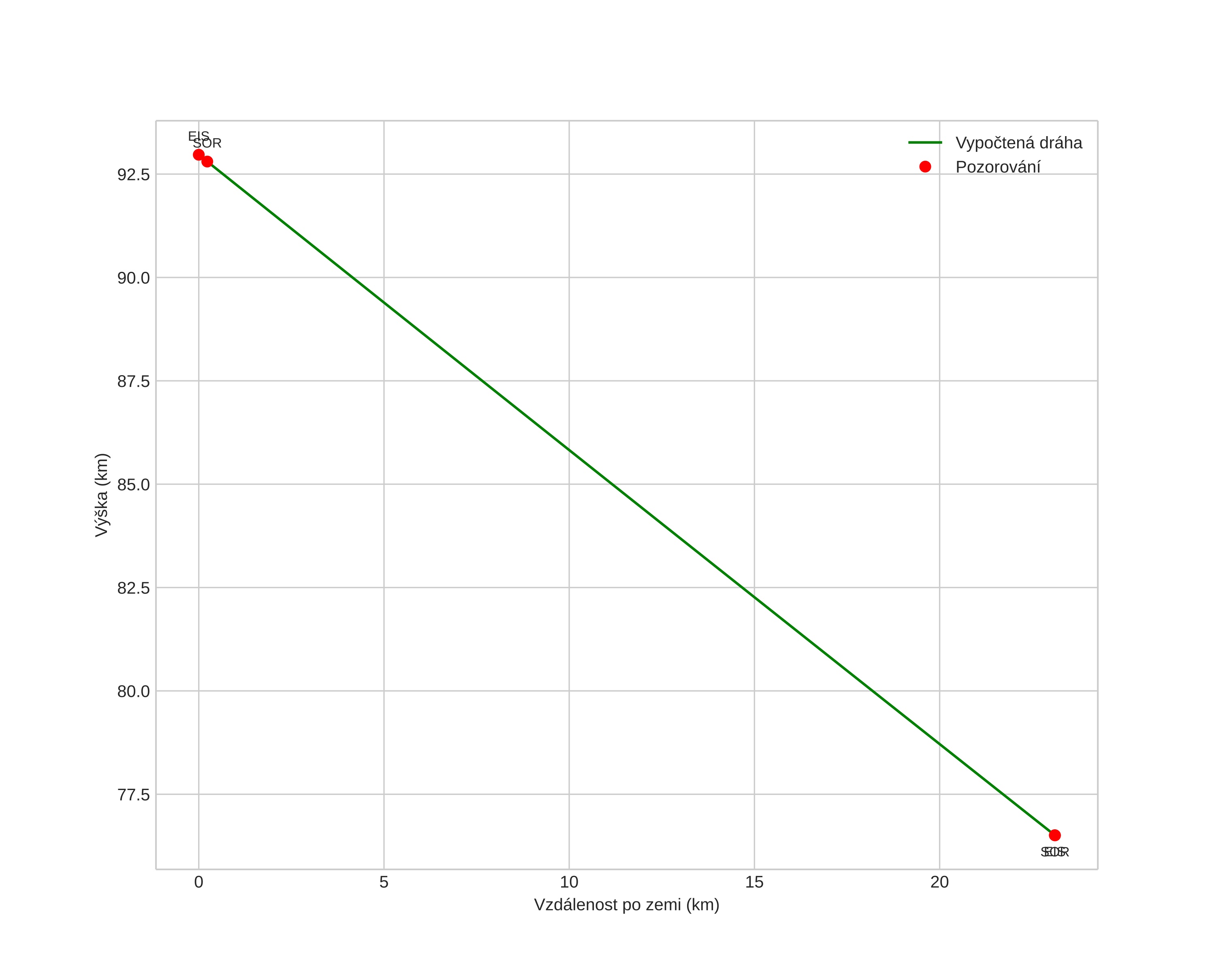
Atmosférická dráha meteoru:
Počáteční výška: 92,5 km
Konečná výška: 75,8 km
Počáteční poloha: 69,321N 19,896E
Konečná poloha: 69,484N 19,528E
Směr: 321,8°
Sklon: 35,8°
VstupnĂ­ rychlost: 28,7 km/s
Rektascenze radiantu: 04:11 (62,9°)
Deklinace radiantu: 16,4°
MeteorickĂ˝ roj: SevernĂ­ Tauridy
Elementy dráhy meteoroidu:
Vzdálenost v periheliu: 0,471 AU
Excentricita: 0,837
Sklon dráhy: 4,3°
Délka vzestupného uzlu: 59,2°
Argument perihelia: 98,5°
Střední anomálie: 351,5°
Epocha: 2022 NOV 21 20:41:17
orbit plot

NeinteraktivnĂ­ graf | InteraktivnĂ­ graf

position vs time
speed and acceleration