🇳🇴 🇬🇧 🇩🇪 🇨🇿 🇫🇮

Meteor Storsteinnesin yllä 2022-11-21 20:41:17 UTC

KML-tiedosto  |  Interaktiivinen kartta

Kartta näyttää meteorin suuntahavainnot. Vaaleammat viivat näyttävät suunnat havaintoasemilta meteorin ilmestyessä, ja tummemmat viivat näyttävät, missä se viimeksi nähtiin. Sininen nuoli näyttää meteorin näkyvän lennon.

static map
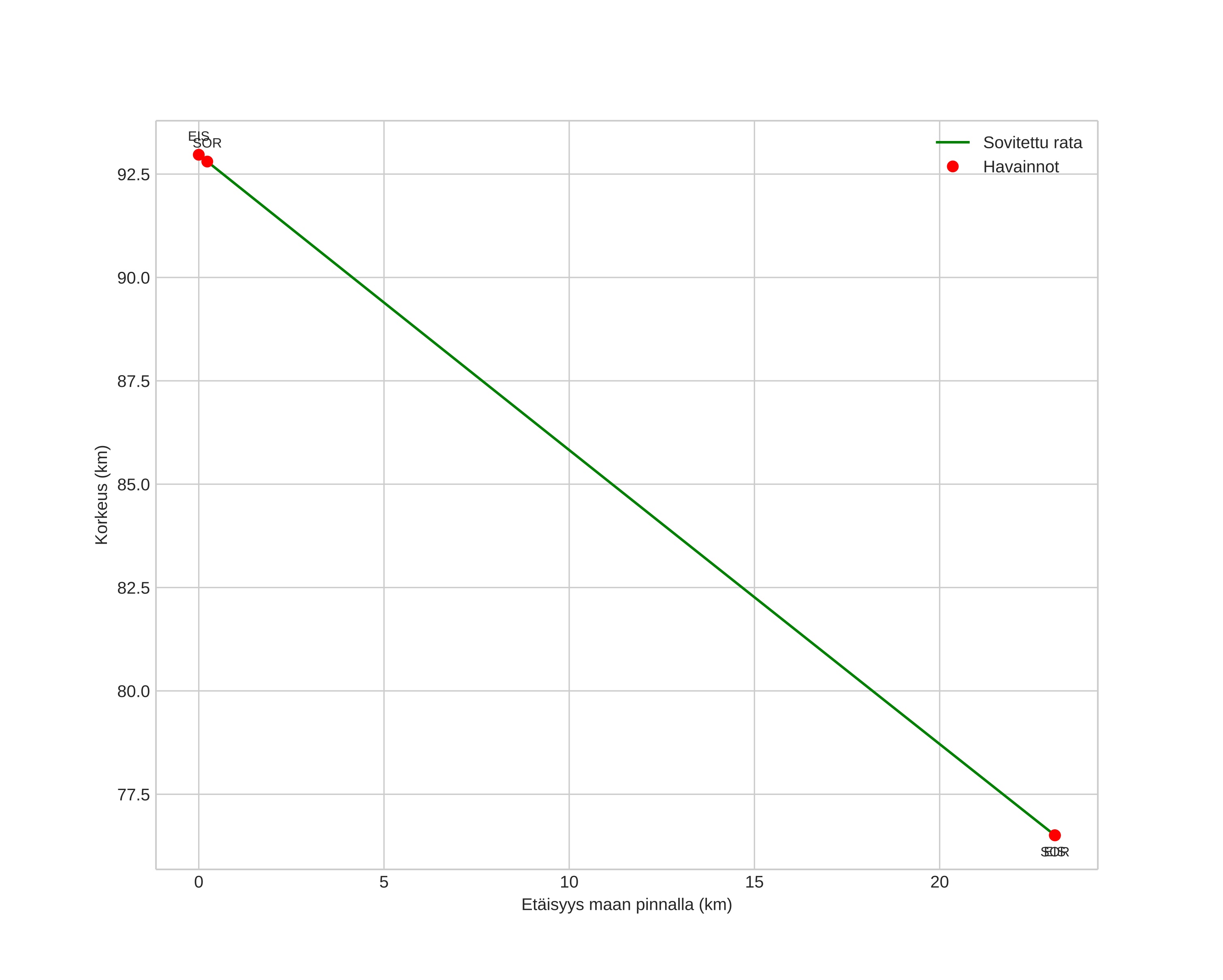
height profile
Meteorin ilmakehärata:
Alkukorkeus: 92,5 km
Loppukorkeus: 75,8 km
Alkupiste: 69,321N 19,896E
Loppupiste: 69,484N 19,528E
Suunta: 321,8°
Kallistuskulma: 35,8°
Tulonopeus: 28,7 km/s
Radiantin R,A,: 04:11 (62,9°)
Radiantin Dekl,: 16,4°
Meteoriparvi: Pohjoiset tauridit
Meteoroidin rataelementit:
Perihelietäisyys: 0,471 AU
Eksentrisyys: 0,837
Inklinaatio: 4,3°
Nousevan solmun pituus: 59,2°
Perihelin argumentti: 98,5°
Keskianomalia: 351,5°
Epookki: 2022 NOV 21 20:41:17
orbit plot

Ei-interaktiivinen kuvaaja | Interaktiivinen kuvaaja

position vs time
speed and acceleration