🇳🇴 🇬🇧 🇩🇪 🇨🇿 🇫🇮

Meteor, poloha: Hatteng 2022-11-21 21:33:02 UTC

Soubor KML  |  InteraktivnĂ­ mapa

Mapa zobrazuje dráhy meteoru. Světlejší čáry ukazují směry od pozorovacích stanic při objevení se meteoru a tmavší čáry, kde byl naposledy viděn. Modrá šipka značí viditelnou dráhu meteoru.

static map
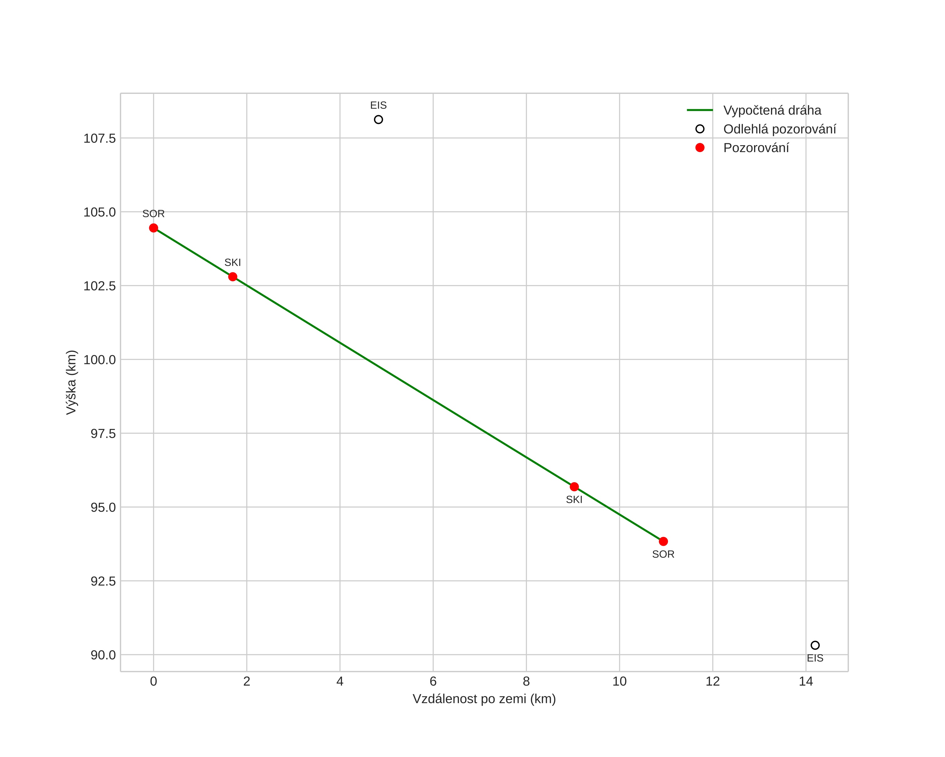
height profile
Atmosférická dráha meteoru:
Počáteční výška: 104,7 km
Konečná výška: 93,9 km
Počáteční poloha: 68,695N 19,706E
Konečná poloha: 68,602N 19,815E
Směr: 156,6°
Sklon: 44,1°
VstupnĂ­ rychlost: 27,6 km/s
Rektascenze radiantu: 17:25 (261,4°)
Deklinace radiantu: 60,4°
MeteorickĂ˝ roj: sporadickĂ˝
Elementy dráhy meteoroidu:
Vzdálenost v periheliu: 0,982 AU
Excentricita: 0,705
Sklon dráhy: 40,0°
Délka vzestupného uzlu: 239,2°
Argument perihelia: 169,9°
Střední anomálie: 1,2°
Epocha: 2022 NOV 21 21:33:02
orbit plot

NeinteraktivnĂ­ graf | InteraktivnĂ­ graf

position vs time
speed and acceleration