🇳🇴 🇬🇧 🇩🇪 🇨🇿 🇫🇮

Meteor Hattengin yllä 2022-11-21 21:33:02 UTC

KML-tiedosto  |  Interaktiivinen kartta

Kartta näyttää meteorin suuntahavainnot. Vaaleammat viivat näyttävät suunnat havaintoasemilta meteorin ilmestyessä, ja tummemmat viivat näyttävät, missä se viimeksi nähtiin. Sininen nuoli näyttää meteorin näkyvän lennon.

static map
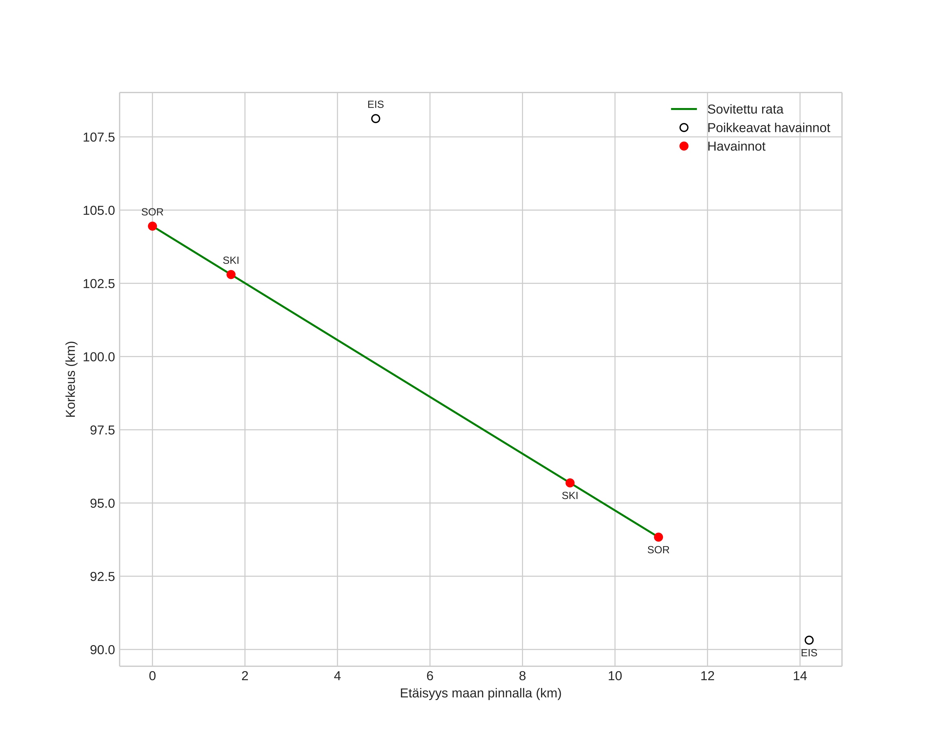
height profile
Meteorin ilmakehärata:
Alkukorkeus: 104,7 km
Loppukorkeus: 93,9 km
Alkupiste: 68,695N 19,706E
Loppupiste: 68,602N 19,815E
Suunta: 156,6°
Kallistuskulma: 44,1°
Tulonopeus: 27,6 km/s
Radiantin R,A,: 17:25 (261,4°)
Radiantin Dekl,: 60,4°
Meteoriparvi: Sporadinen
Meteoroidin rataelementit:
Perihelietäisyys: 0,982 AU
Eksentrisyys: 0,705
Inklinaatio: 40,0°
Nousevan solmun pituus: 239,2°
Perihelin argumentti: 169,9°
Keskianomalia: 1,2°
Epookki: 2022 NOV 21 21:33:02
orbit plot

Ei-interaktiivinen kuvaaja | Interaktiivinen kuvaaja

position vs time
speed and acceleration