🇳🇴 🇬🇧 🇩🇪 🇨🇿 🇫🇮

Meteor, poloha: Storslett 2022-11-22 00:44:49 UTC

Soubor KML  |  InteraktivnĂ­ mapa

Mapa zobrazuje dráhy meteoru. Světlejší čáry ukazují směry od pozorovacích stanic při objevení se meteoru a tmavší čáry, kde byl naposledy viděn. Modrá šipka značí viditelnou dráhu meteoru.

static map
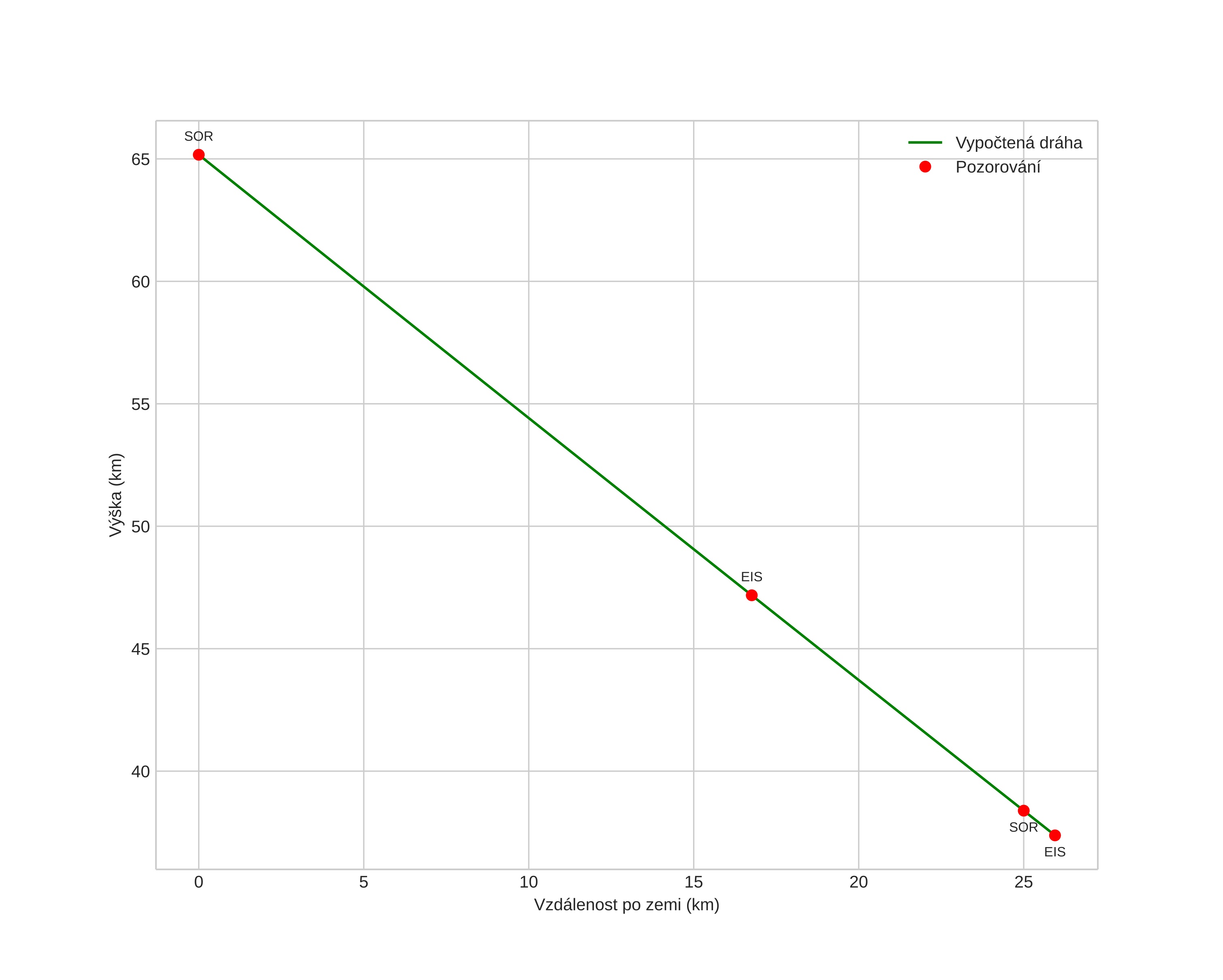
height profile
Atmosférická dráha meteoru:
Počáteční výška: 65,2 km
Konečná výška: 37,4 km
Počáteční poloha: 69,316N 21,871E
Konečná poloha: 69,506N 21,485E
Směr: 324,6°
Sklon: 47,0°
VstupnĂ­ rychlost: 11,4 km/s
Rektascenze radiantu: 08:25 (126,4°)
Deklinace radiantu: -0,7°
MeteorickĂ˝ roj: sporadickĂ˝
Elementy dráhy meteoroidu:
Vzdálenost v periheliu: 0,806 AU
Excentricita: 0,104
Sklon dráhy: 1,3°
Délka vzestupného uzlu: 59,5°
Argument perihelia: 162,5°
Střední anomálie: 201,2°
Epocha: 2022 NOV 22 00:44:49
orbit plot

NeinteraktivnĂ­ graf | InteraktivnĂ­ graf

position vs time
speed and acceleration