🇳🇴 🇬🇧 🇩🇪 🇨🇿 🇫🇮

Meteor Storslettin yllä 2022-11-22 00:44:49 UTC

KML-tiedosto  |  Interaktiivinen kartta

Kartta näyttää meteorin suuntahavainnot. Vaaleammat viivat näyttävät suunnat havaintoasemilta meteorin ilmestyessä, ja tummemmat viivat näyttävät, missä se viimeksi nähtiin. Sininen nuoli näyttää meteorin näkyvän lennon.

static map
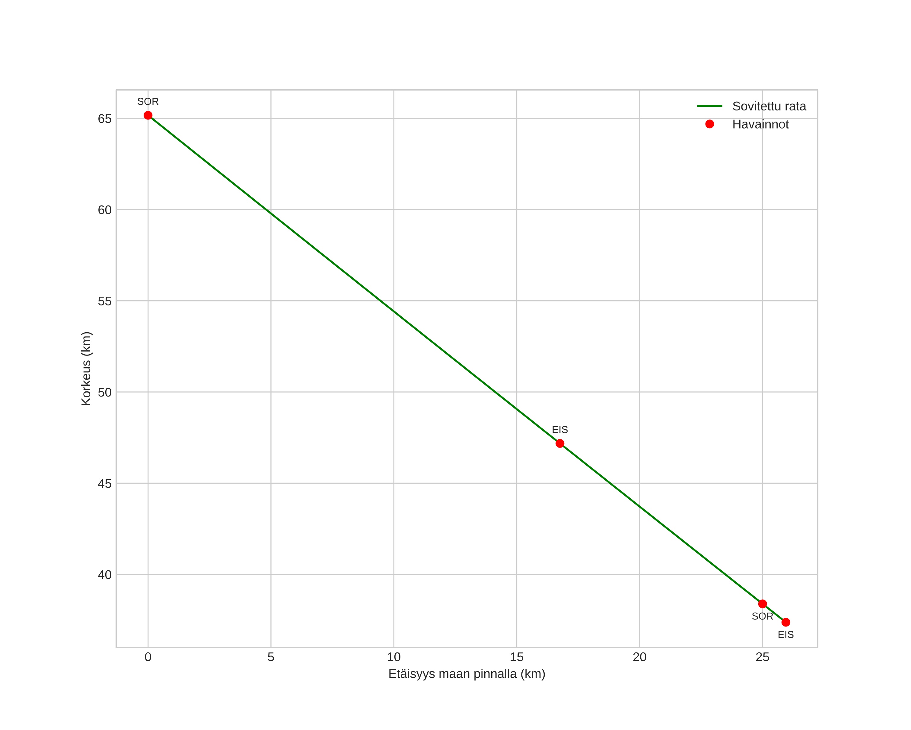
height profile
Meteorin ilmakehärata:
Alkukorkeus: 65,2 km
Loppukorkeus: 37,4 km
Alkupiste: 69,316N 21,871E
Loppupiste: 69,506N 21,485E
Suunta: 324,6°
Kallistuskulma: 47,0°
Tulonopeus: 11,4 km/s
Radiantin R,A,: 08:25 (126,4°)
Radiantin Dekl,: -0,7°
Meteoriparvi: Sporadinen
Meteoroidin rataelementit:
Perihelietäisyys: 0,806 AU
Eksentrisyys: 0,104
Inklinaatio: 1,3°
Nousevan solmun pituus: 59,5°
Perihelin argumentti: 162,5°
Keskianomalia: 201,2°
Epookki: 2022 NOV 22 00:44:49
orbit plot

Ei-interaktiivinen kuvaaja | Interaktiivinen kuvaaja

position vs time
speed and acceleration