🇳🇴 🇬🇧 🇩🇪 🇨🇿 🇫🇮

Meteor, poloha: Storsteinnes 2022-11-22 01:49:43 UTC

Soubor KML  |  InteraktivnĂ­ mapa

Mapa zobrazuje dráhy meteoru. Světlejší čáry ukazují směry od pozorovacích stanic při objevení se meteoru a tmavší čáry, kde byl naposledy viděn. Modrá šipka značí viditelnou dráhu meteoru.

static map
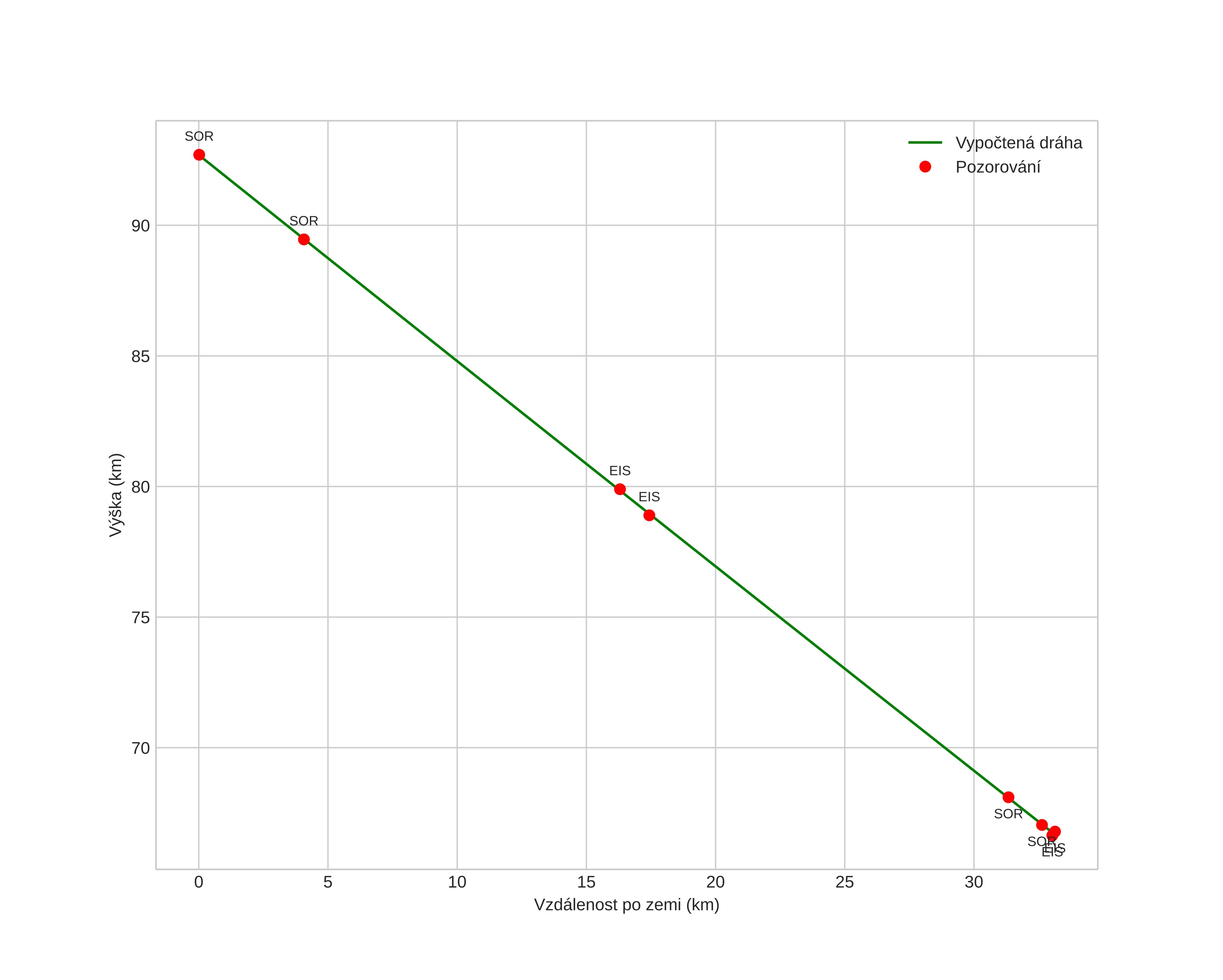
height profile
Atmosférická dráha meteoru:
Počáteční výška: 92,1 km
Konečná výška: 66,5 km
Počáteční poloha: 68,653N 18,677E
Konečná poloha: 68,673N 19,509E
Směr: 85,8°
Sklon: 37,2°
VstupnĂ­ rychlost: 19,2 km/s
Rektascenze radiantu: 02:11 (32,9°)
Deklinace radiantu: 27,3°
MeteorickĂ˝ roj: sporadickĂ˝
Elementy dráhy meteoroidu:
Vzdálenost v periheliu: 0,809 AU
Excentricita: 0,711
Sklon dráhy: 5,8°
Délka vzestupného uzlu: 239,4°
Argument perihelia: 235,6°
Střední anomálie: 352,4°
Epocha: 2022 NOV 22 01:49:43
orbit plot

NeinteraktivnĂ­ graf | InteraktivnĂ­ graf

position vs time
speed and acceleration