🇳🇴 🇬🇧 🇩🇪 🇨🇿 🇫🇮

Meteor über Storsteinnes 2022-11-22 01:49:43 UTC

KML-Datei  |  Interaktive Karte

Die Karte zeigt die Peilungen für den Meteor. Die helleren Linien zeigen die Richtungen von den Beobachtungsorten beim Erscheinen des Meteors, und die dunkleren Linien, wo er zuletzt gesehen wurde. Der blaue Pfeil zeigt die sichtbare Bahn des Meteors.

static map
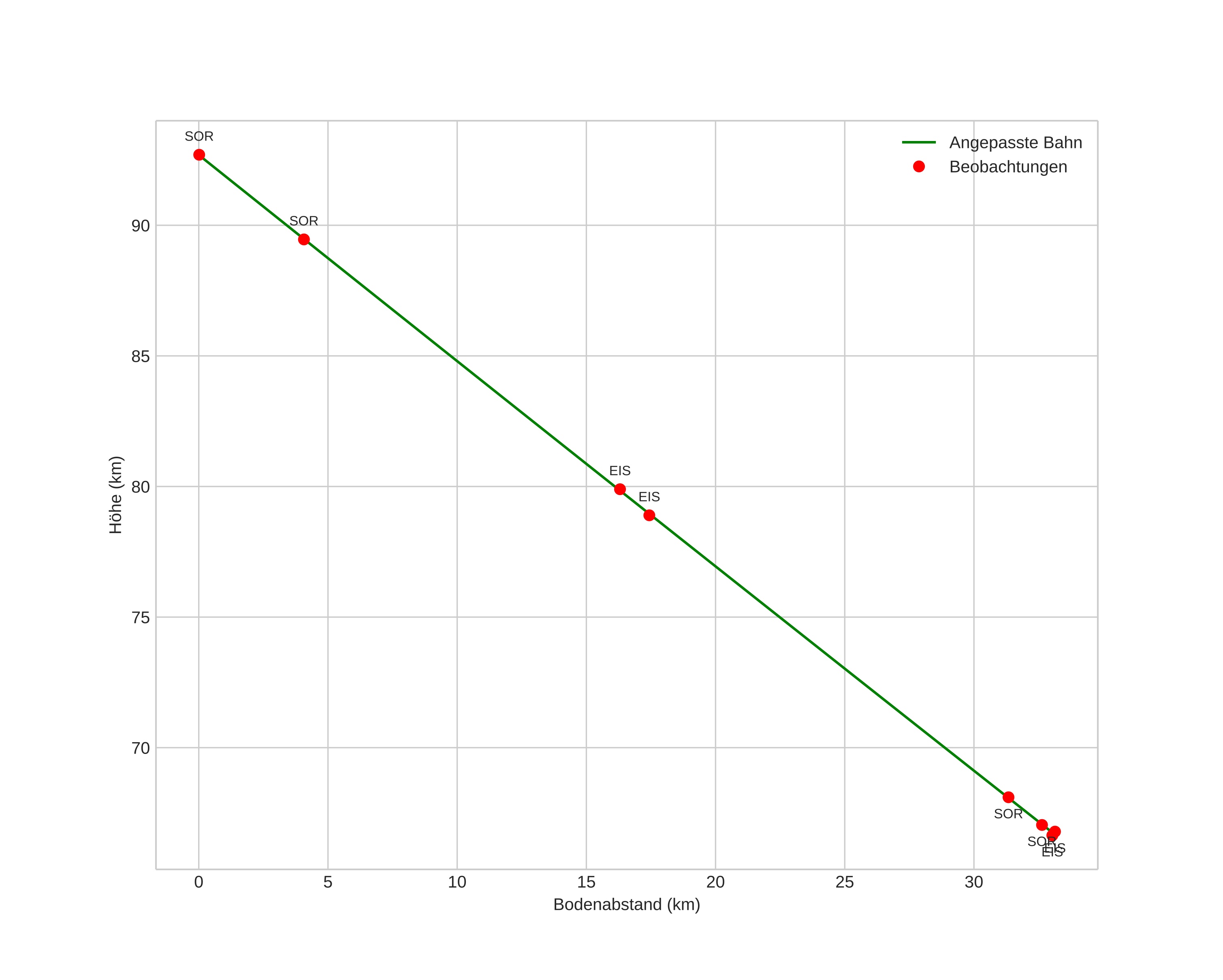
height profile
Atmosphärische Bahn des Meteors:
Anfangshöhe: 92,1 km
Endhöhe: 66,5 km
Startposition: 68,653N 18,677E
Endposition: 68,673N 19,509E
Richtung: 85,8°
Neigungswinkel: 37,2°
Eintrittsgeschwindigkeit: 19,2 km/s
Rektaszension des Radianten: 02:11 (32,9°)
Deklination des Radianten: 27,3°
Meteorstrom: sporadisch
Bahnelemente des Meteoroiden:
Periheldistanz: 0,809 AU
Exzentrizität: 0,711
Inklination: 5,8°
Länge des aufsteigenden Knotens: 239,4°
Argument des Perihels: 235,6°
Mittlere Anomalie: 352,4°
Epoche: 2022 NOV 22 01:49:43
orbit plot

Nicht-interaktives Diagramm | Interaktives Diagramm

position vs time
speed and acceleration