🇳🇴 🇬🇧 🇩🇪 🇨🇿 🇫🇮

Meteor, poloha: Straume 2022-11-22 18:27:16 UTC

Soubor KML  |  InteraktivnĂ­ mapa

Mapa zobrazuje dráhy meteoru. Světlejší čáry ukazují směry od pozorovacích stanic při objevení se meteoru a tmavší čáry, kde byl naposledy viděn. Modrá šipka značí viditelnou dráhu meteoru.

static map
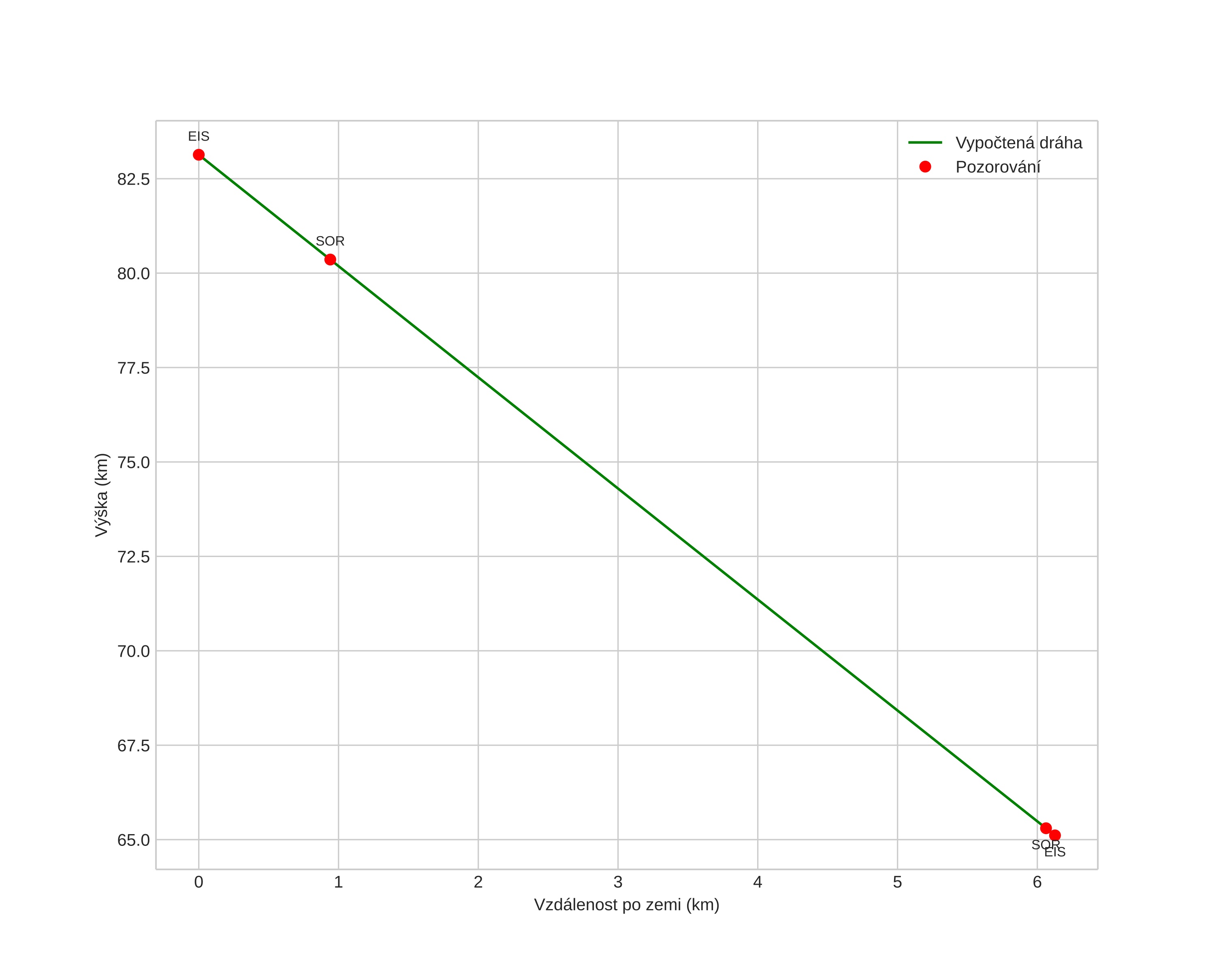
height profile
Atmosférická dráha meteoru:
Počáteční výška: 83,1 km
Konečná výška: 66,0 km
Počáteční poloha: 69,308N 14,109E
Konečná poloha: 69,343N 14,219E
Směr: 47,8°
Sklon: 71,1°
VstupnĂ­ rychlost: 17,7 km/s
Rektascenze radiantu: 21:43 (325,9°)
Deklinace radiantu: 51,4°
MeteorickĂ˝ roj: sporadickĂ˝
Elementy dráhy meteoroidu:
Vzdálenost v periheliu: 0,976 AU
Excentricita: 0,654
Sklon dráhy: 18,0°
Délka vzestupného uzlu: 240,1°
Argument perihelia: 194,2°
Střední anomálie: 357,7°
Epocha: 2022 NOV 22 18:27:16
orbit plot

NeinteraktivnĂ­ graf | InteraktivnĂ­ graf

position vs time
speed and acceleration