🇳🇴 🇬🇧 🇩🇪 🇨🇿 🇫🇮

Meteor Straumen yllä 2022-11-22 18:27:16 UTC

KML-tiedosto  |  Interaktiivinen kartta

Kartta näyttää meteorin suuntahavainnot. Vaaleammat viivat näyttävät suunnat havaintoasemilta meteorin ilmestyessä, ja tummemmat viivat näyttävät, missä se viimeksi nähtiin. Sininen nuoli näyttää meteorin näkyvän lennon.

static map
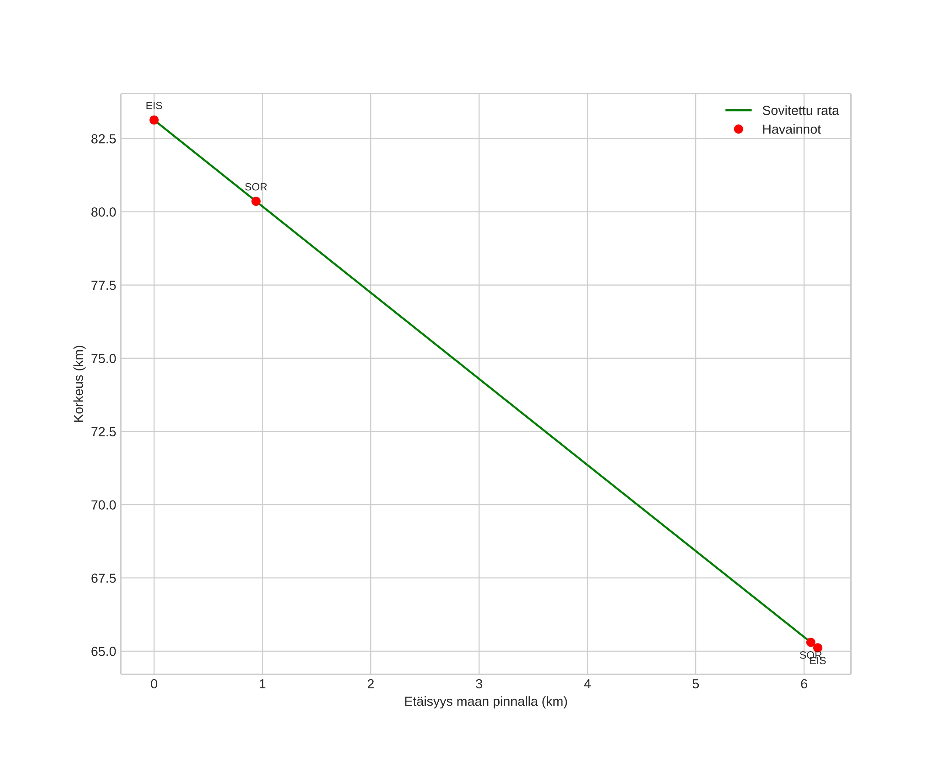
height profile
Meteorin ilmakehärata:
Alkukorkeus: 83,1 km
Loppukorkeus: 66,0 km
Alkupiste: 69,308N 14,109E
Loppupiste: 69,343N 14,219E
Suunta: 47,8°
Kallistuskulma: 71,1°
Tulonopeus: 17,7 km/s
Radiantin R,A,: 21:43 (325,9°)
Radiantin Dekl,: 51,4°
Meteoriparvi: Sporadinen
Meteoroidin rataelementit:
Perihelietäisyys: 0,976 AU
Eksentrisyys: 0,654
Inklinaatio: 18,0°
Nousevan solmun pituus: 240,1°
Perihelin argumentti: 194,2°
Keskianomalia: 357,7°
Epookki: 2022 NOV 22 18:27:16
orbit plot

Ei-interaktiivinen kuvaaja | Interaktiivinen kuvaaja

position vs time
speed and acceleration