🇳🇴 🇬🇧 🇩🇪 🇨🇿 🇫🇮

Meteor, poloha: Tennevoll 2022-11-22 20:19:14 UTC

Soubor KML  |  InteraktivnĂ­ mapa

Mapa zobrazuje dráhy meteoru. Světlejší čáry ukazují směry od pozorovacích stanic při objevení se meteoru a tmavší čáry, kde byl naposledy viděn. Modrá šipka značí viditelnou dráhu meteoru.

static map
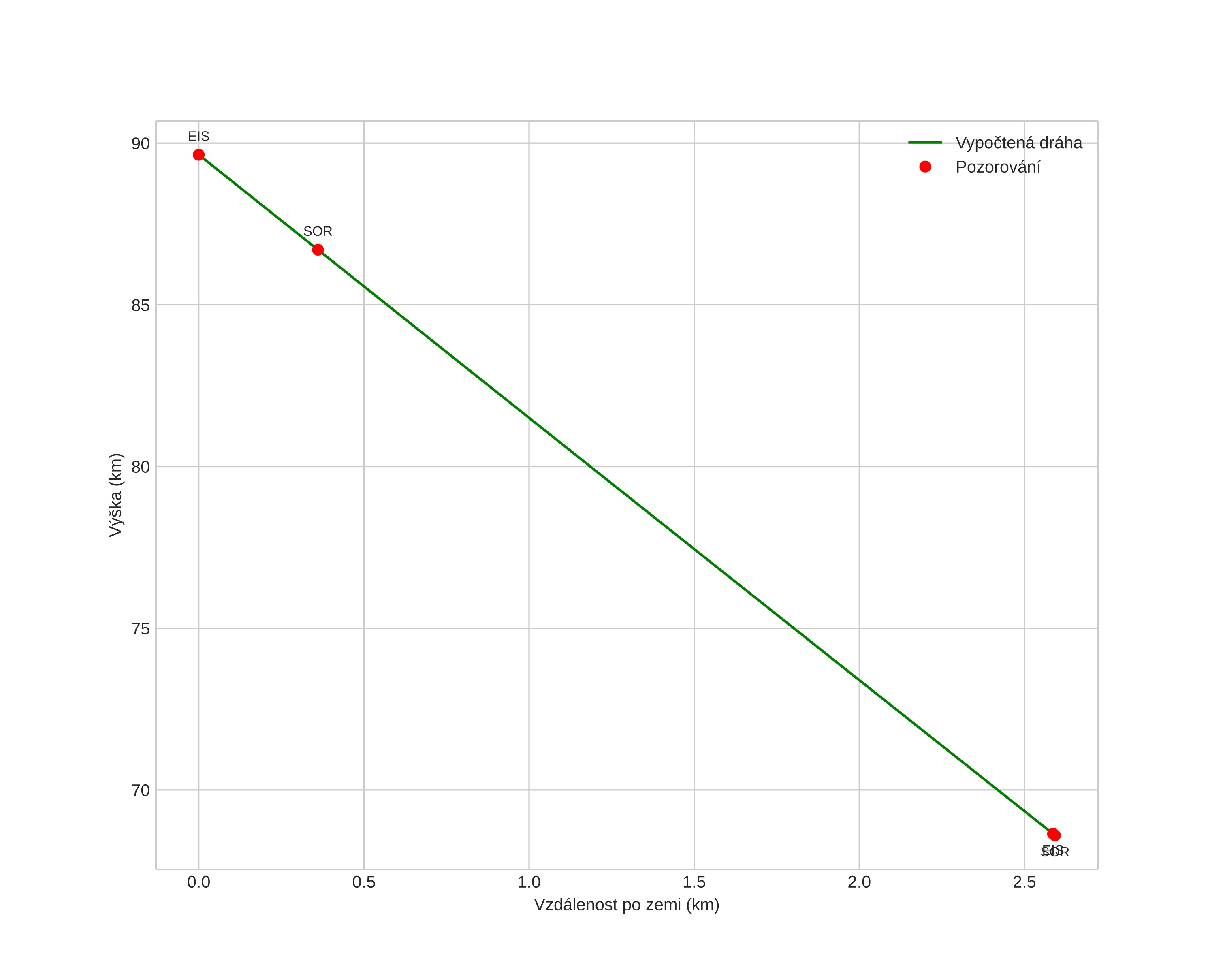
height profile
Atmosférická dráha meteoru:
Počáteční výška: 89,2 km
Konečná výška: 67,6 km
Počáteční poloha: 68,684N 18,093E
Konečná poloha: 68,674N 18,032E
Směr: 245,1°
Sklon: 82,8°
VstupnĂ­ rychlost: 30,0 km/s
Rektascenze radiantu: 02:55 (44,0°)
Deklinace radiantu: 70,6°
MeteorickĂ˝ roj: sporadickĂ˝
Elementy dráhy meteoroidu:
Vzdálenost v periheliu: 0,759 AU
Excentricita: 0,796
Sklon dráhy: 37,8°
Délka vzestupného uzlu: 240,2°
Argument perihelia: 241,5°
Střední anomálie: 354,9°
Epocha: 2022 NOV 22 20:19:14
orbit plot

NeinteraktivnĂ­ graf | InteraktivnĂ­ graf

position vs time
speed and acceleration