🇳🇴 🇬🇧 🇩🇪 🇨🇿 🇫🇮

Meteor Tennevollin yllä 2022-11-22 20:19:14 UTC

KML-tiedosto  |  Interaktiivinen kartta

Kartta näyttää meteorin suuntahavainnot. Vaaleammat viivat näyttävät suunnat havaintoasemilta meteorin ilmestyessä, ja tummemmat viivat näyttävät, missä se viimeksi nähtiin. Sininen nuoli näyttää meteorin näkyvän lennon.

static map
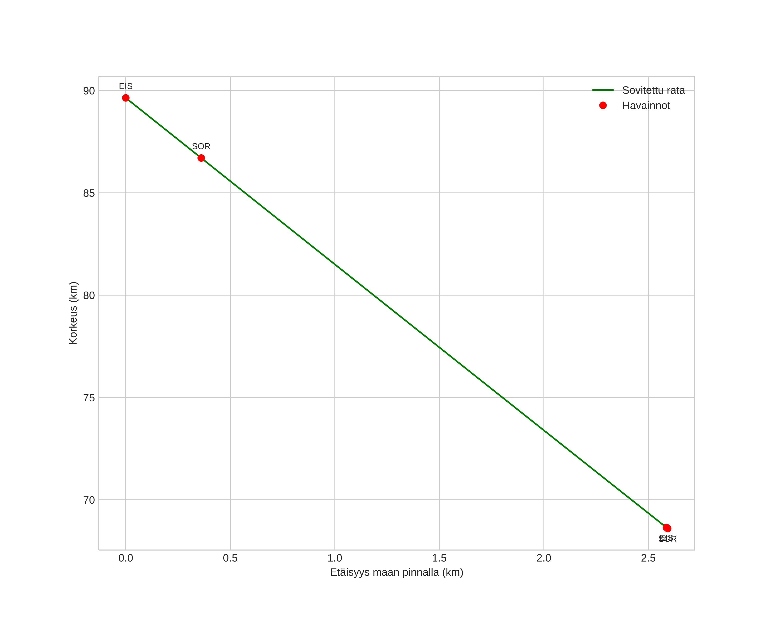
height profile
Meteorin ilmakehärata:
Alkukorkeus: 89,2 km
Loppukorkeus: 67,6 km
Alkupiste: 68,684N 18,093E
Loppupiste: 68,674N 18,032E
Suunta: 245,1°
Kallistuskulma: 82,8°
Tulonopeus: 30,0 km/s
Radiantin R,A,: 02:55 (44,0°)
Radiantin Dekl,: 70,6°
Meteoriparvi: Sporadinen
Meteoroidin rataelementit:
Perihelietäisyys: 0,759 AU
Eksentrisyys: 0,796
Inklinaatio: 37,8°
Nousevan solmun pituus: 240,2°
Perihelin argumentti: 241,5°
Keskianomalia: 354,9°
Epookki: 2022 NOV 22 20:19:14
orbit plot

Ei-interaktiivinen kuvaaja | Interaktiivinen kuvaaja

position vs time
speed and acceleration