🇳🇴 🇬🇧 🇩🇪 🇨🇿 🇫🇮

Meteor, poloha: Kárášjohka 2022-11-23 16:47:55 UTC

Soubor KML  |  InteraktivnĂ­ mapa

Mapa zobrazuje dráhy meteoru. Světlejší čáry ukazují směry od pozorovacích stanic při objevení se meteoru a tmavší čáry, kde byl naposledy viděn. Modrá šipka značí viditelnou dráhu meteoru.

static map
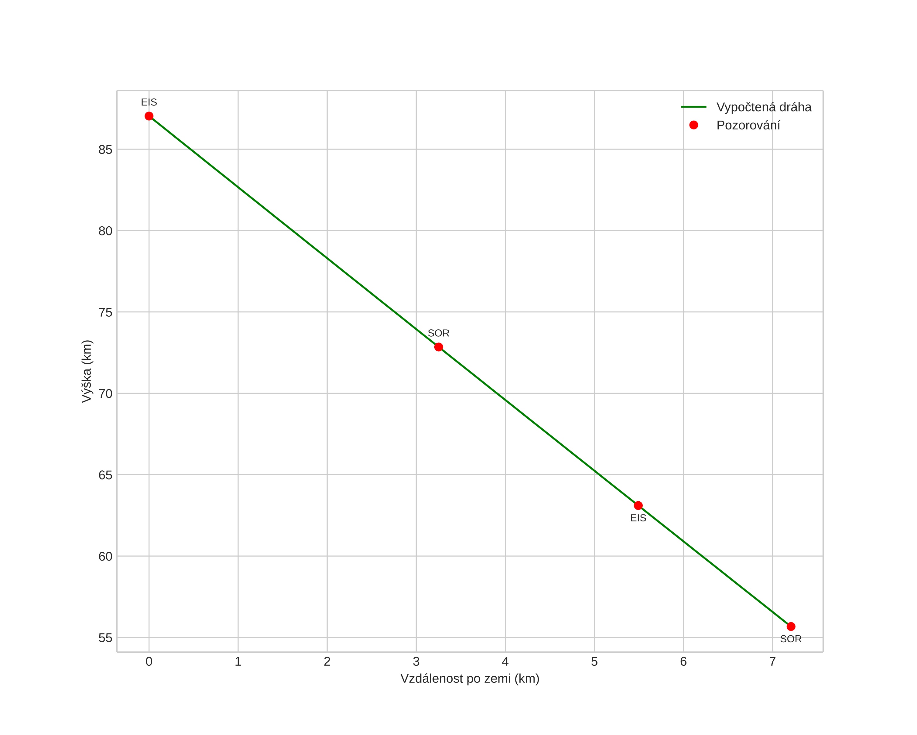
height profile
Atmosférická dráha meteoru:
Počáteční výška: 86,6 km
Konečná výška: 56,7 km
Počáteční poloha: 68,802N 25,305E
Konečná poloha: 68,747N 25,466E
Směr: 133,5°
Sklon: 73,4°
VstupnĂ­ rychlost: 28,5 km/s
Rektascenze radiantu: 19:00 (285,1°)
Deklinace radiantu: 74,2°
MeteorickĂ˝ roj: sporadickĂ˝
Elementy dráhy meteoroidu:
Vzdálenost v periheliu: 0,973 AU
Excentricita: 0,778
Sklon dráhy: 40,9°
Délka vzestupného uzlu: 241,1°
Argument perihelia: 194,8°
Střední anomálie: 358,8°
Epocha: 2022 NOV 23 16:47:55
orbit plot

NeinteraktivnĂ­ graf | InteraktivnĂ­ graf

position vs time
speed and acceleration