🇳🇴 🇬🇧 🇩🇪 🇨🇿 🇫🇮

Meteor Kárášjohkan yllä 2022-11-23 16:47:55 UTC

KML-tiedosto  |  Interaktiivinen kartta

Kartta näyttää meteorin suuntahavainnot. Vaaleammat viivat näyttävät suunnat havaintoasemilta meteorin ilmestyessä, ja tummemmat viivat näyttävät, missä se viimeksi nähtiin. Sininen nuoli näyttää meteorin näkyvän lennon.

static map
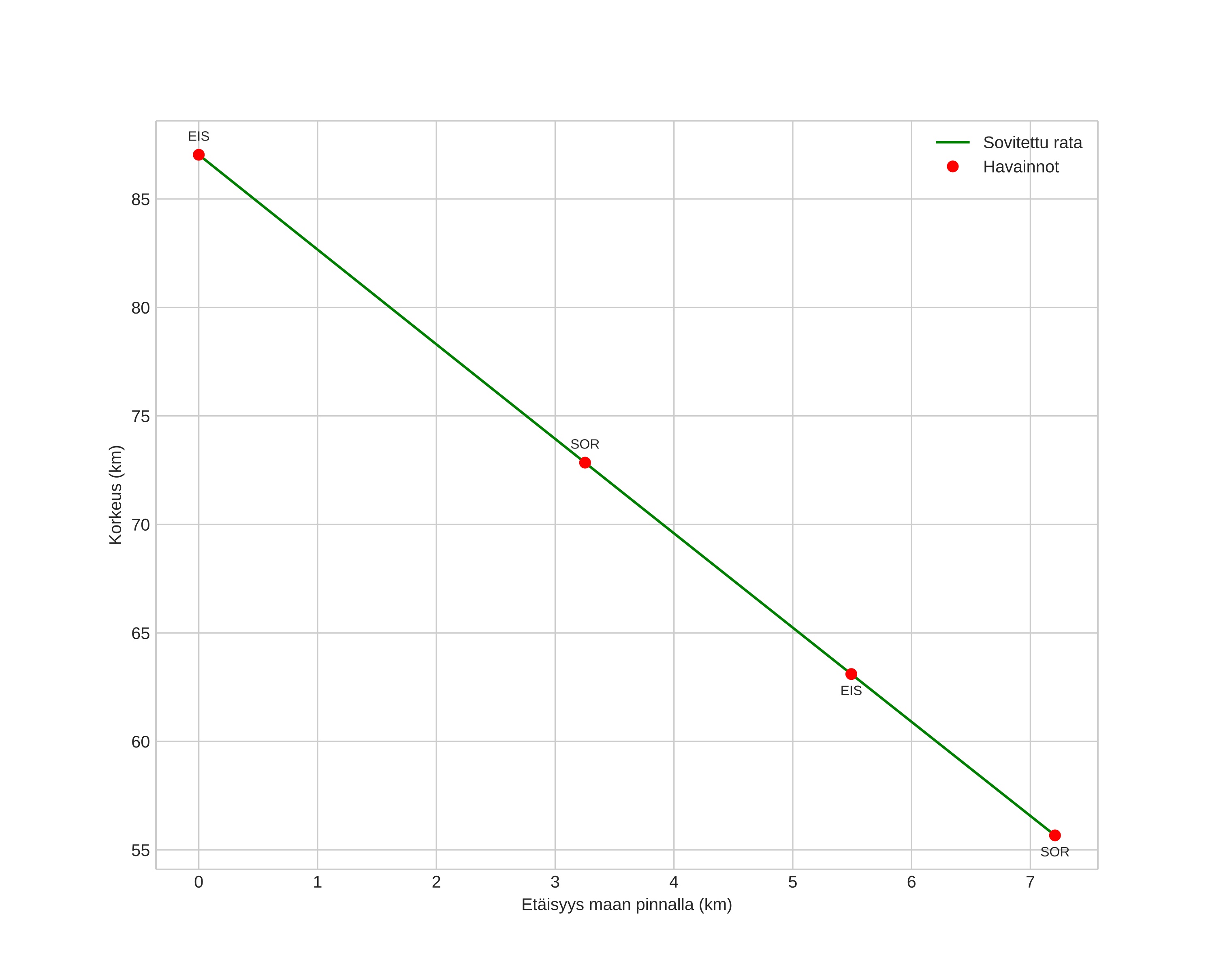
height profile
Meteorin ilmakehärata:
Alkukorkeus: 86,6 km
Loppukorkeus: 56,7 km
Alkupiste: 68,802N 25,305E
Loppupiste: 68,747N 25,466E
Suunta: 133,5°
Kallistuskulma: 73,4°
Tulonopeus: 28,5 km/s
Radiantin R,A,: 19:00 (285,1°)
Radiantin Dekl,: 74,2°
Meteoriparvi: Sporadinen
Meteoroidin rataelementit:
Perihelietäisyys: 0,973 AU
Eksentrisyys: 0,778
Inklinaatio: 40,9°
Nousevan solmun pituus: 241,1°
Perihelin argumentti: 194,8°
Keskianomalia: 358,8°
Epookki: 2022 NOV 23 16:47:55
orbit plot

Ei-interaktiivinen kuvaaja | Interaktiivinen kuvaaja

position vs time
speed and acceleration