🇳🇴 🇬🇧 🇩🇪 🇨🇿 🇫🇮

Meteor, poloha: Myre 2022-11-23 19:52:33 UTC

Soubor KML  |  InteraktivnĂ­ mapa

Mapa zobrazuje dráhy meteoru. Světlejší čáry ukazují směry od pozorovacích stanic při objevení se meteoru a tmavší čáry, kde byl naposledy viděn. Modrá šipka značí viditelnou dráhu meteoru.

static map
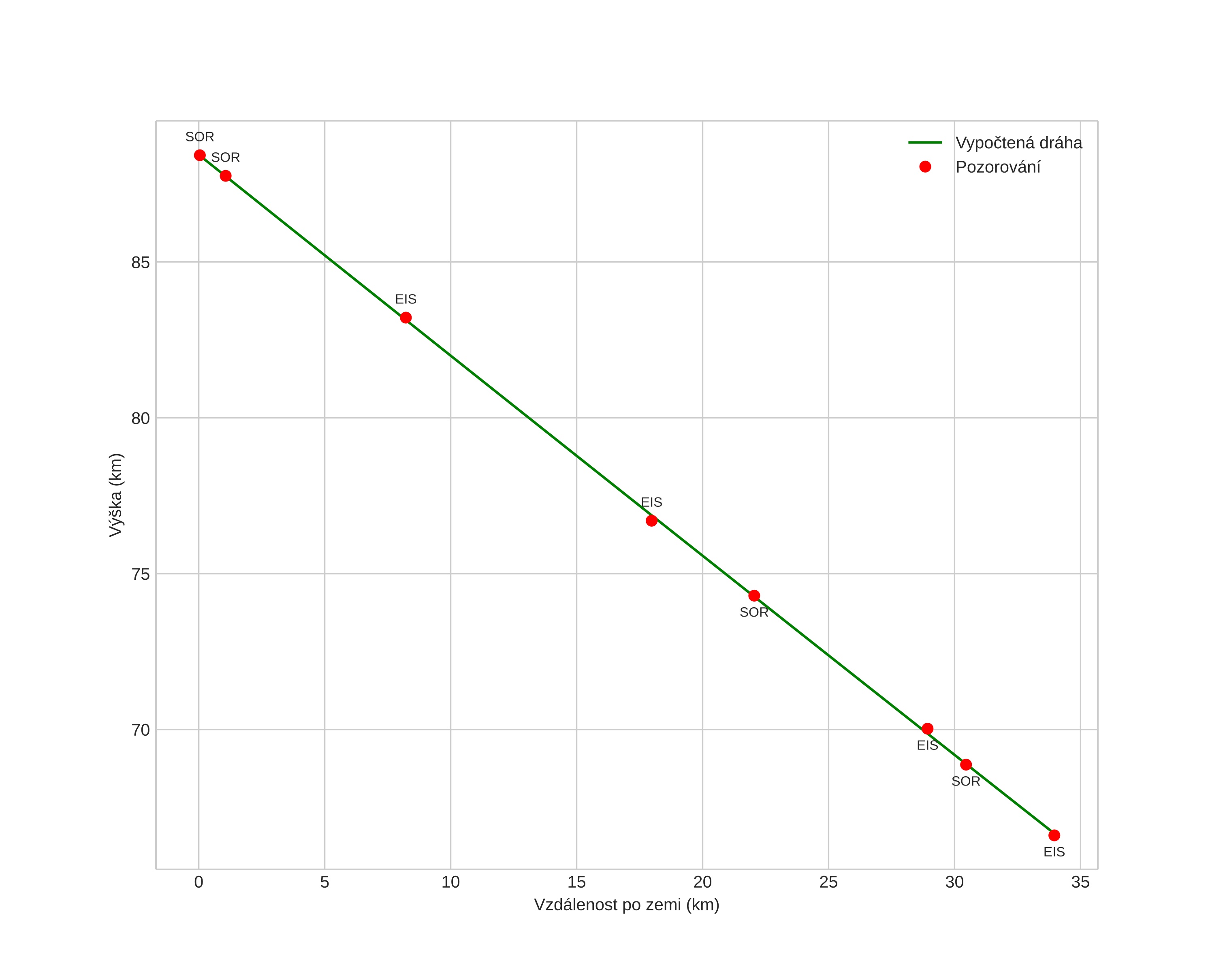
height profile
Atmosférická dráha meteoru:
Počáteční výška: 88,6 km
Konečná výška: 66,3 km
Počáteční poloha: 69,064N 16,665E
Konečná poloha: 69,244N 15,957E
Směr: 305,8°
Sklon: 32,9°
VstupnĂ­ rychlost: 28,1 km/s
Rektascenze radiantu: 04:15 (63,9°)
Deklinace radiantu: 16,9°
MeteorickĂ˝ roj: SevernĂ­ Tauridy
Elementy dráhy meteoroidu:
Vzdálenost v periheliu: 0,490 AU
Excentricita: 0,826
Sklon dráhy: 3,9°
Délka vzestupného uzlu: 61,2°
Argument perihelia: 96,6°
Střední anomálie: 351,1°
Epocha: 2022 NOV 23 19:52:33
orbit plot

NeinteraktivnĂ­ graf | InteraktivnĂ­ graf

position vs time
speed and acceleration