🇳🇴 🇬🇧 🇩🇪 🇨🇿 🇫🇮

Meteor Myren yllä 2022-11-23 19:52:33 UTC

KML-tiedosto  |  Interaktiivinen kartta

Kartta näyttää meteorin suuntahavainnot. Vaaleammat viivat näyttävät suunnat havaintoasemilta meteorin ilmestyessä, ja tummemmat viivat näyttävät, missä se viimeksi nähtiin. Sininen nuoli näyttää meteorin näkyvän lennon.

static map
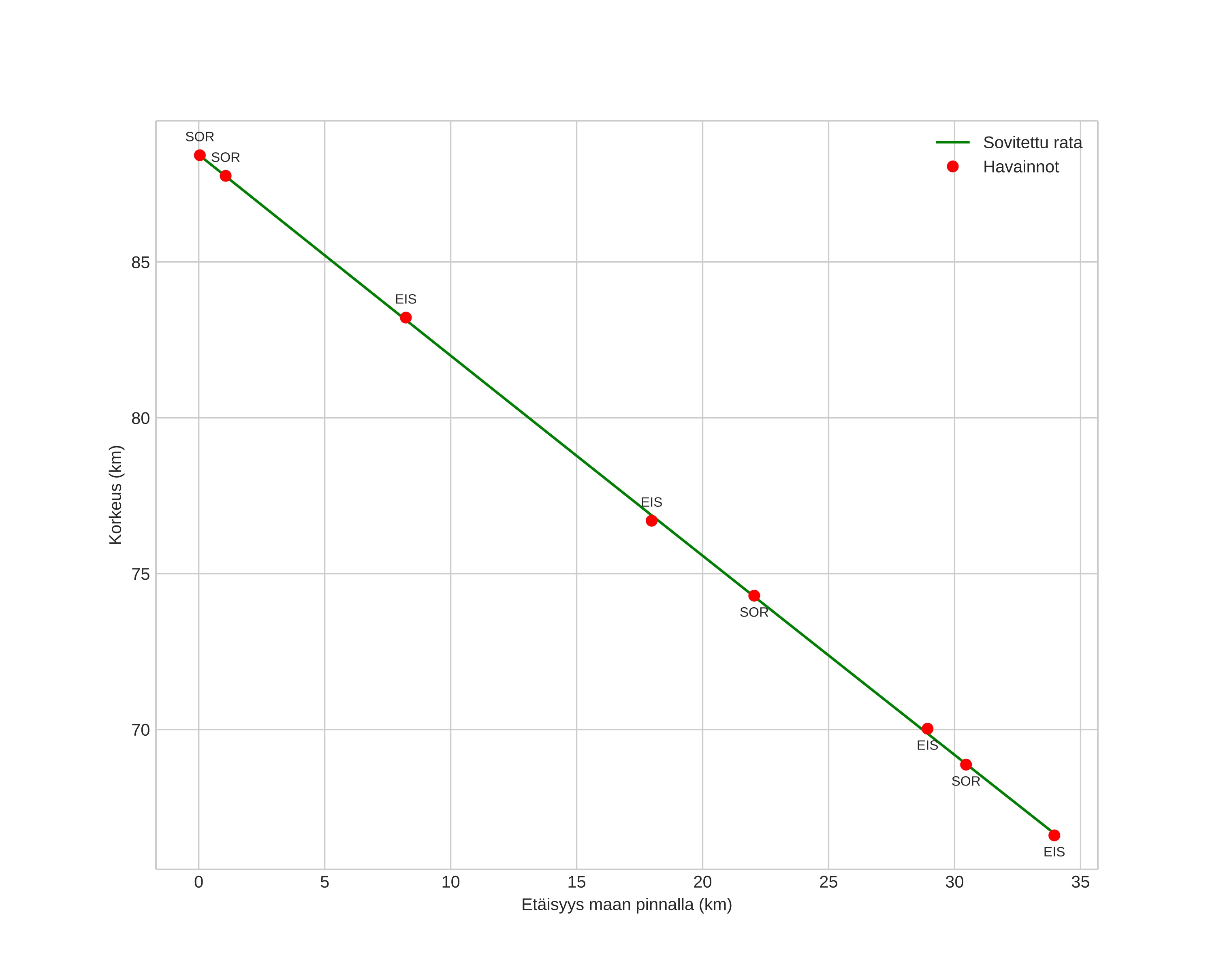
height profile
Meteorin ilmakehärata:
Alkukorkeus: 88,6 km
Loppukorkeus: 66,3 km
Alkupiste: 69,064N 16,665E
Loppupiste: 69,244N 15,957E
Suunta: 305,8°
Kallistuskulma: 32,9°
Tulonopeus: 28,1 km/s
Radiantin R,A,: 04:15 (63,9°)
Radiantin Dekl,: 16,9°
Meteoriparvi: Pohjoiset tauridit
Meteoroidin rataelementit:
Perihelietäisyys: 0,490 AU
Eksentrisyys: 0,826
Inklinaatio: 3,9°
Nousevan solmun pituus: 61,2°
Perihelin argumentti: 96,6°
Keskianomalia: 351,1°
Epookki: 2022 NOV 23 19:52:33
orbit plot

Ei-interaktiivinen kuvaaja | Interaktiivinen kuvaaja

position vs time
speed and acceleration