🇳🇴 🇬🇧 🇩🇪 🇨🇿 🇫🇮

Meteor, poloha: Brøstadbotn 2022-11-24 01:18:19 UTC

Soubor KML  |  InteraktivnĂ­ mapa

Mapa zobrazuje dráhy meteoru. Světlejší čáry ukazují směry od pozorovacích stanic při objevení se meteoru a tmavší čáry, kde byl naposledy viděn. Modrá šipka značí viditelnou dráhu meteoru.

static map
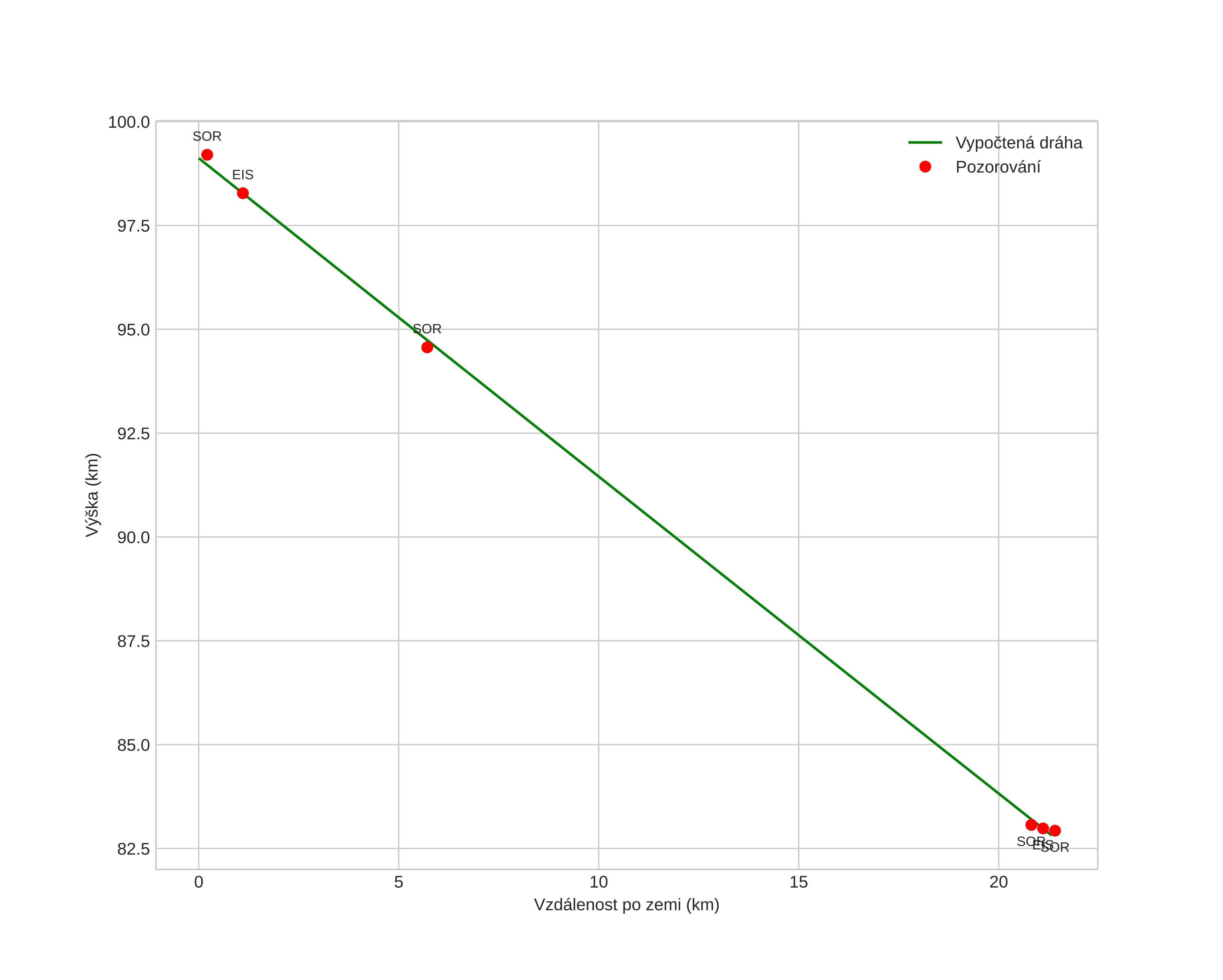
height profile
Atmosférická dráha meteoru:
Počáteční výška: 103,3 km
Konečná výška: 83,6 km
Počáteční poloha: 69,212N 17,141E
Konečná poloha: 69,423N 17,417E
Směr: 24,7°
Sklon: 37,3°
VstupnĂ­ rychlost: 38,5 km/s
Rektascenze radiantu: 05:13 (78,4°)
Deklinace radiantu: 16,8°
MeteorickĂ˝ roj: sporadickĂ˝
Elementy dráhy meteoroidu:
Vzdálenost v periheliu: 0,215 AU
Excentricita: 0,960
Sklon dráhy: 11,8°
Délka vzestupného uzlu: 61,4°
Argument perihelia: 126,6°
Střední anomálie: 357,2°
Epocha: 2022 NOV 24 01:18:19
orbit plot

NeinteraktivnĂ­ graf | InteraktivnĂ­ graf

position vs time
speed and acceleration