🇳🇴 🇬🇧 🇩🇪 🇨🇿 🇫🇮

Meteor Brøstadbotnin yllä 2022-11-24 01:18:19 UTC

KML-tiedosto  |  Interaktiivinen kartta

Kartta näyttää meteorin suuntahavainnot. Vaaleammat viivat näyttävät suunnat havaintoasemilta meteorin ilmestyessä, ja tummemmat viivat näyttävät, missä se viimeksi nähtiin. Sininen nuoli näyttää meteorin näkyvän lennon.

static map
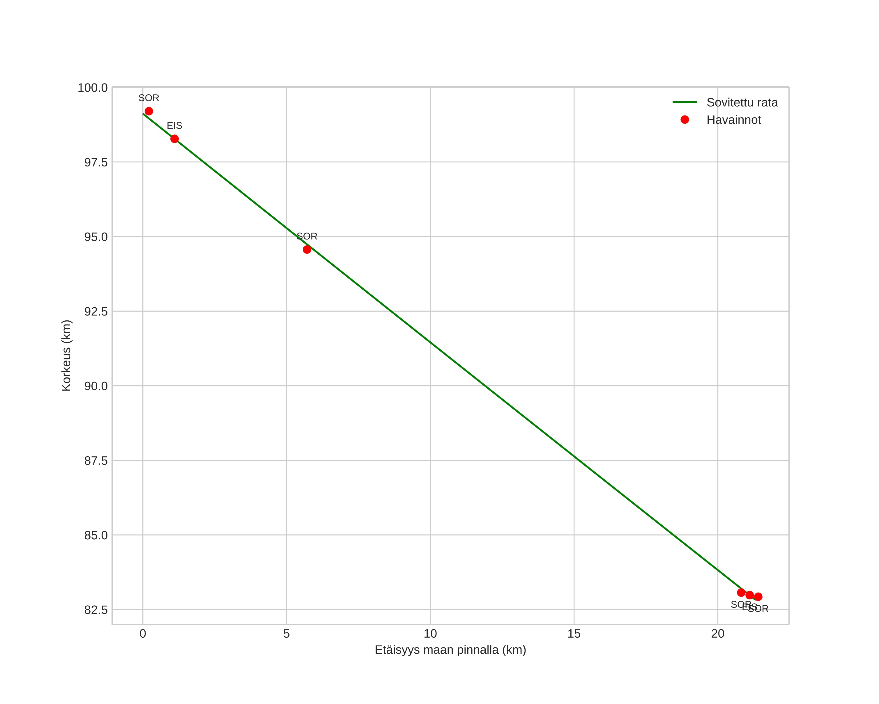
height profile
Meteorin ilmakehärata:
Alkukorkeus: 103,3 km
Loppukorkeus: 83,6 km
Alkupiste: 69,212N 17,141E
Loppupiste: 69,423N 17,417E
Suunta: 24,7°
Kallistuskulma: 37,3°
Tulonopeus: 38,5 km/s
Radiantin R,A,: 05:13 (78,4°)
Radiantin Dekl,: 16,8°
Meteoriparvi: Sporadinen
Meteoroidin rataelementit:
Perihelietäisyys: 0,215 AU
Eksentrisyys: 0,960
Inklinaatio: 11,8°
Nousevan solmun pituus: 61,4°
Perihelin argumentti: 126,6°
Keskianomalia: 357,2°
Epookki: 2022 NOV 24 01:18:19
orbit plot

Ei-interaktiivinen kuvaaja | Interaktiivinen kuvaaja

position vs time
speed and acceleration