🇳🇴 🇬🇧 🇩🇪 🇨🇿 🇫🇮

Meteor, poloha: Kittilä 2022-11-24 02:07:50 UTC

Soubor KML  |  InteraktivnĂ­ mapa

Mapa zobrazuje dráhy meteoru. Světlejší čáry ukazují směry od pozorovacích stanic při objevení se meteoru a tmavší čáry, kde byl naposledy viděn. Modrá šipka značí viditelnou dráhu meteoru.

static map
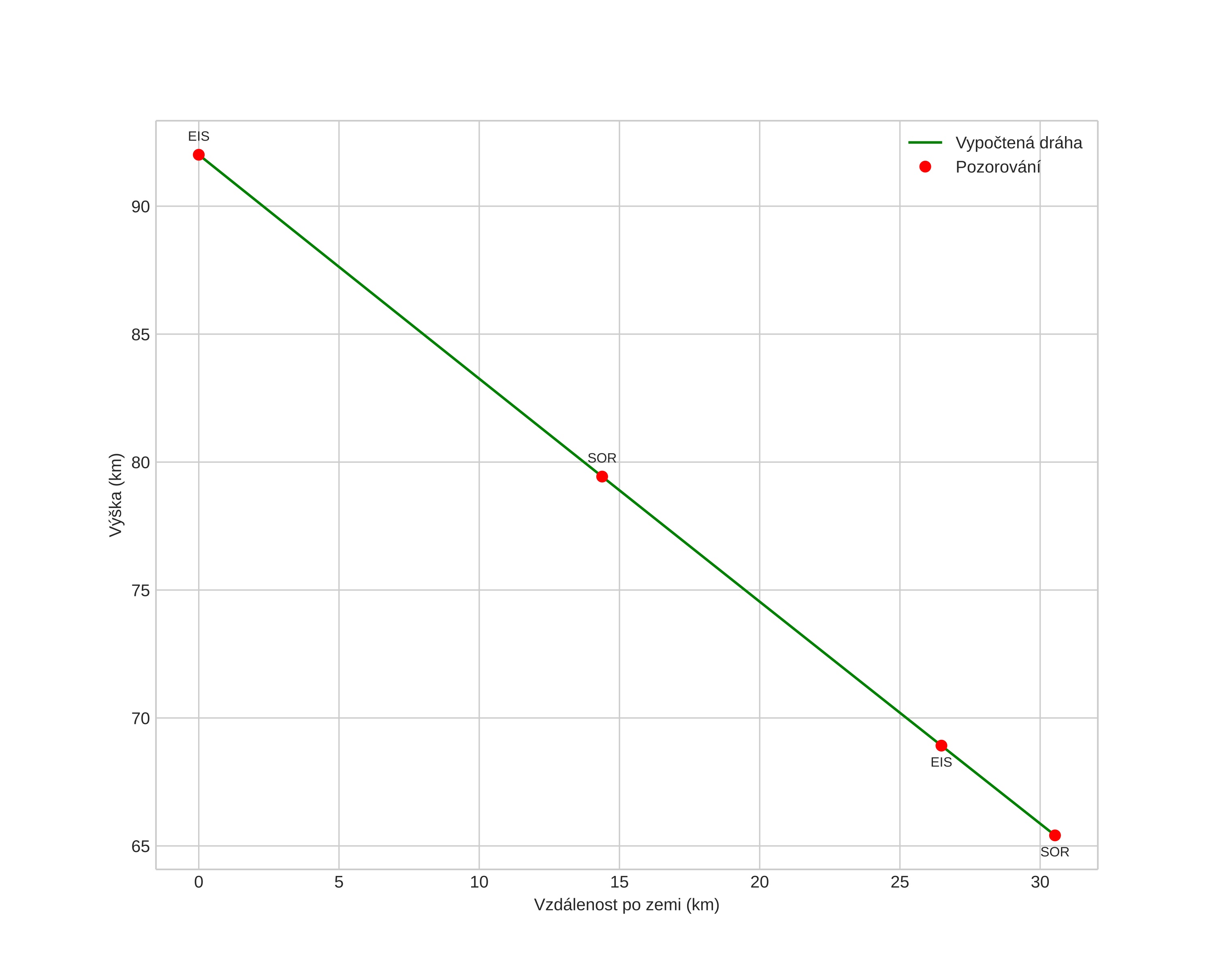
height profile
Atmosférická dráha meteoru:
Počáteční výška: 90,7 km
Konečná výška: 66,5 km
Počáteční poloha: 67,179N 24,624E
Konečná poloha: 67,256N 25,389E
Směr: 75,1°
Sklon: 35,4°
VstupnĂ­ rychlost: 34,3 km/s
Rektascenze radiantu: 03:45 (56,3°)
Deklinace radiantu: 25,2°
MeteorickĂ˝ roj: sporadickĂ˝
Elementy dráhy meteoroidu:
Vzdálenost v periheliu: 0,502 AU
Excentricita: 1,144
Sklon dráhy: 5,5°
Délka vzestupného uzlu: 241,4°
Argument perihelia: 265,5°
Střední anomálie: -5,3°
Epocha: 2022 NOV 24 02:07:50
orbit plot

NeinteraktivnĂ­ graf | InteraktivnĂ­ graf

position vs time
speed and acceleration