🇳🇴 🇬🇧 🇩🇪 🇨🇿 🇫🇮

Meteor Kittiläin yllä 2022-11-24 02:07:50 UTC

KML-tiedosto  |  Interaktiivinen kartta

Kartta näyttää meteorin suuntahavainnot. Vaaleammat viivat näyttävät suunnat havaintoasemilta meteorin ilmestyessä, ja tummemmat viivat näyttävät, missä se viimeksi nähtiin. Sininen nuoli näyttää meteorin näkyvän lennon.

static map
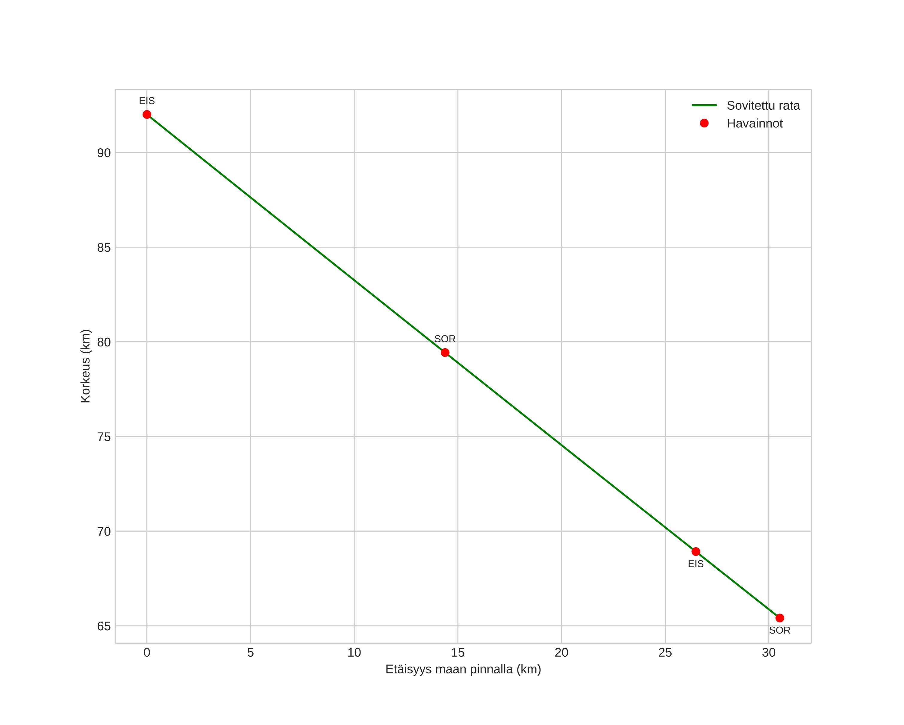
height profile
Meteorin ilmakehärata:
Alkukorkeus: 90,7 km
Loppukorkeus: 66,5 km
Alkupiste: 67,179N 24,624E
Loppupiste: 67,256N 25,389E
Suunta: 75,1°
Kallistuskulma: 35,4°
Tulonopeus: 34,3 km/s
Radiantin R,A,: 03:45 (56,3°)
Radiantin Dekl,: 25,2°
Meteoriparvi: Sporadinen
Meteoroidin rataelementit:
Perihelietäisyys: 0,502 AU
Eksentrisyys: 1,144
Inklinaatio: 5,5°
Nousevan solmun pituus: 241,4°
Perihelin argumentti: 265,5°
Keskianomalia: -5,3°
Epookki: 2022 NOV 24 02:07:50
orbit plot

Ei-interaktiivinen kuvaaja | Interaktiivinen kuvaaja

position vs time
speed and acceleration