🇳🇴 🇬🇧 🇩🇪 🇨🇿 🇫🇮

Meteor, poloha: Andenes 2022-11-24 16:41:12 UTC

Soubor KML  |  InteraktivnĂ­ mapa

Mapa zobrazuje dráhy meteoru. Světlejší čáry ukazují směry od pozorovacích stanic při objevení se meteoru a tmavší čáry, kde byl naposledy viděn. Modrá šipka značí viditelnou dráhu meteoru.

static map
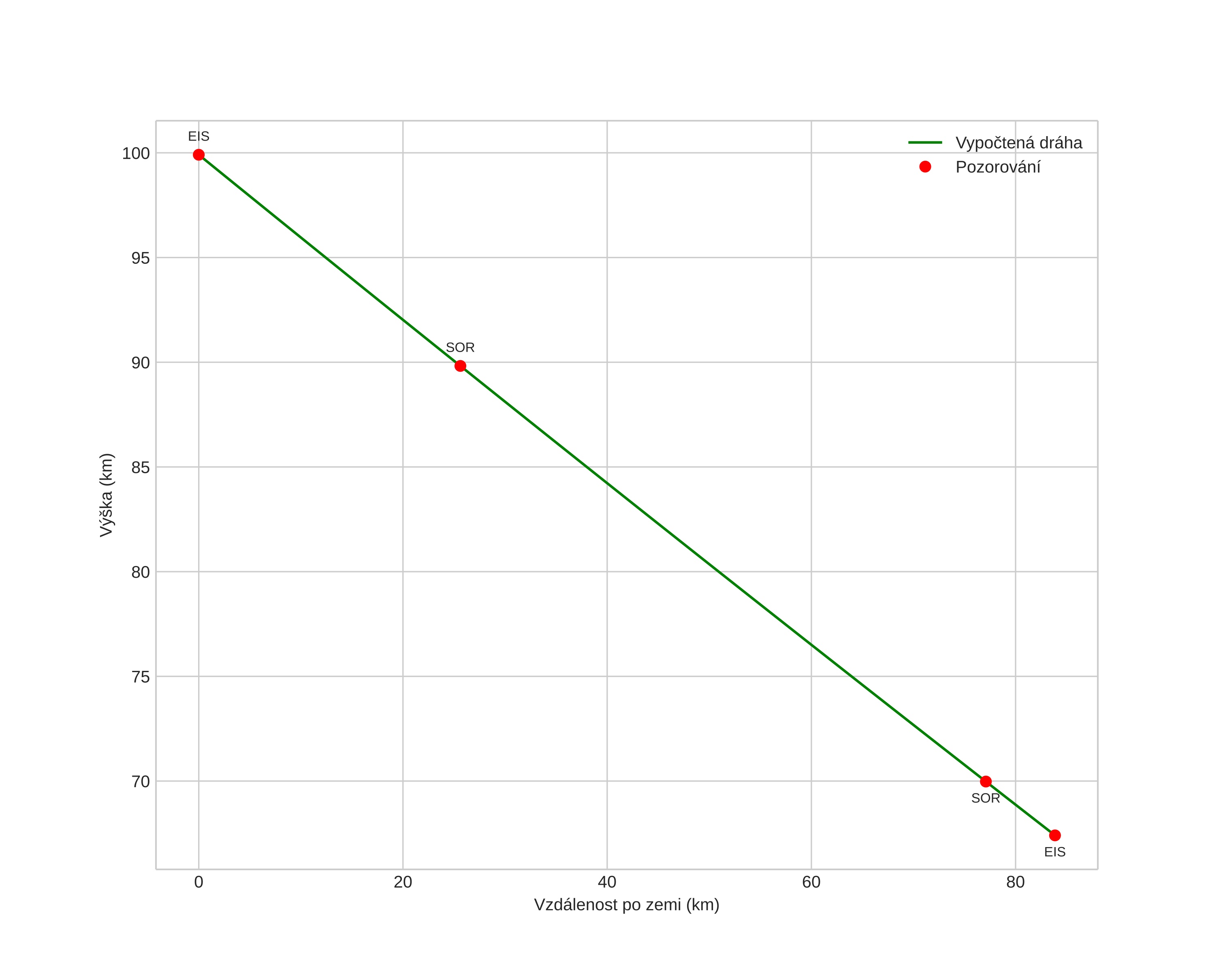
height profile
Atmosférická dráha meteoru:
Počáteční výška: 101,8 km
Konečná výška: 66,6 km
Počáteční poloha: 70,845N 18,309E
Konečná poloha: 70,654N 16,147E
Směr: 256,0°
Sklon: 23,2°
VstupnĂ­ rychlost: 28,0 km/s
Rektascenze radiantu: 04:33 (68,3°)
Deklinace radiantu: 23,5°
MeteorickĂ˝ roj: SevernĂ­ Tauridy
Elementy dráhy meteoroidu:
Vzdálenost v periheliu: 0,435 AU
Excentricita: 0,788
Sklon dráhy: 1,5°
Délka vzestupného uzlu: 242,0°
Argument perihelia: 285,8°
Střední anomálie: 345,2°
Epocha: 2022 NOV 24 16:41:12
orbit plot

NeinteraktivnĂ­ graf | InteraktivnĂ­ graf

position vs time
speed and acceleration