🇳🇴 🇬🇧 🇩🇪 🇨🇿 🇫🇮

Meteor über Andenes 2022-11-24 16:41:12 UTC

KML-Datei  |  Interaktive Karte

Die Karte zeigt die Peilungen für den Meteor. Die helleren Linien zeigen die Richtungen von den Beobachtungsorten beim Erscheinen des Meteors, und die dunkleren Linien, wo er zuletzt gesehen wurde. Der blaue Pfeil zeigt die sichtbare Bahn des Meteors.

static map
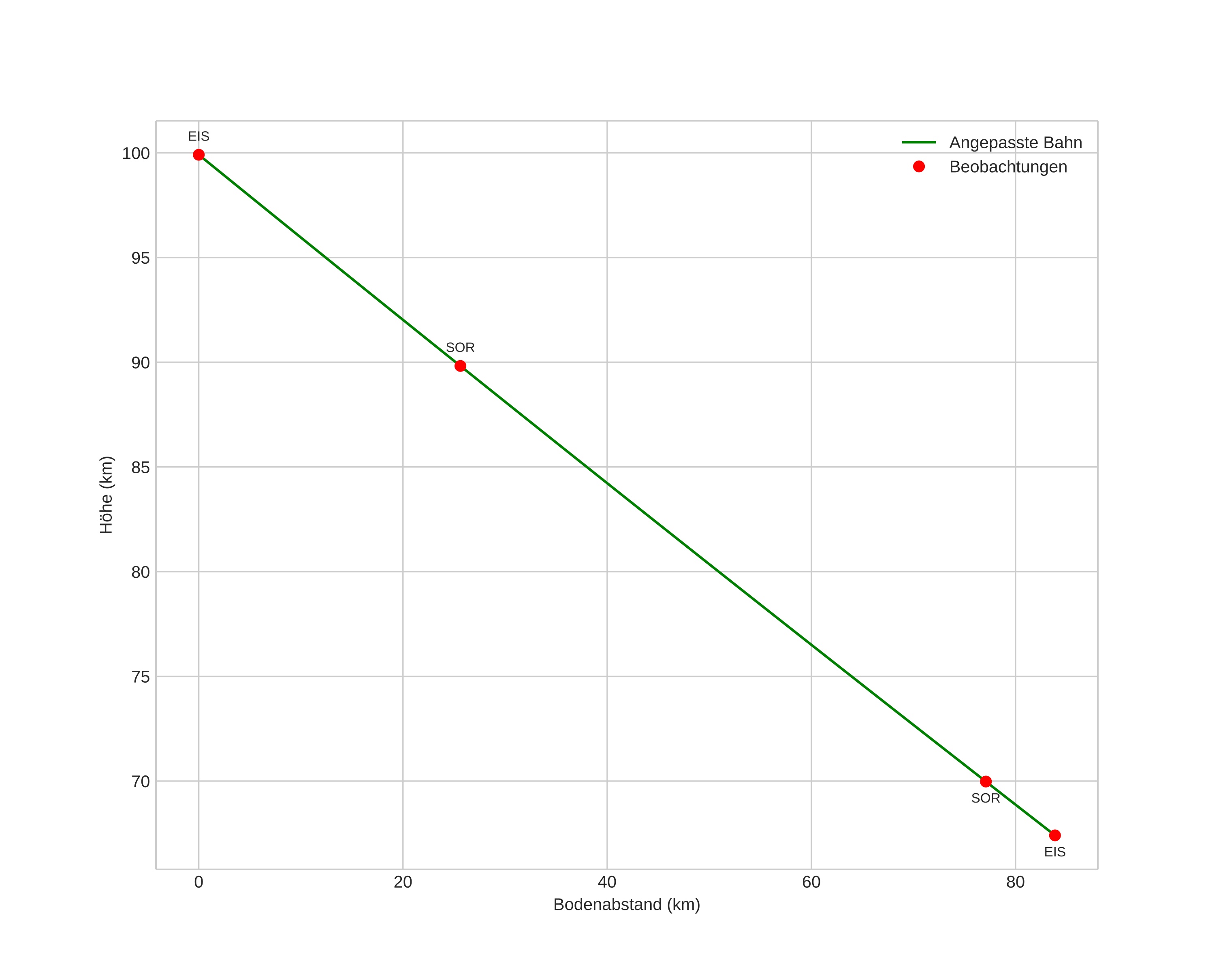
height profile
Atmosphärische Bahn des Meteors:
Anfangshöhe: 101,8 km
Endhöhe: 66,6 km
Startposition: 70,845N 18,309E
Endposition: 70,654N 16,147E
Richtung: 256,0°
Neigungswinkel: 23,2°
Eintrittsgeschwindigkeit: 28,0 km/s
Rektaszension des Radianten: 04:33 (68,3°)
Deklination des Radianten: 23,5°
Meteorstrom: Nördliche Tauriden
Bahnelemente des Meteoroiden:
Periheldistanz: 0,435 AU
Exzentrizität: 0,788
Inklination: 1,5°
Länge des aufsteigenden Knotens: 242,0°
Argument des Perihels: 285,8°
Mittlere Anomalie: 345,2°
Epoche: 2022 NOV 24 16:41:12
orbit plot

Nicht-interaktives Diagramm | Interaktives Diagramm

position vs time
speed and acceleration