🇳🇴 🇬🇧 🇩🇪 🇨🇿 🇫🇮

Meteor, poloha: Kiruna 2022-11-24 18:16:42 UTC

Soubor KML  |  InteraktivnĂ­ mapa

Mapa zobrazuje dráhy meteoru. Světlejší čáry ukazují směry od pozorovacích stanic při objevení se meteoru a tmavší čáry, kde byl naposledy viděn. Modrá šipka značí viditelnou dráhu meteoru.

static map
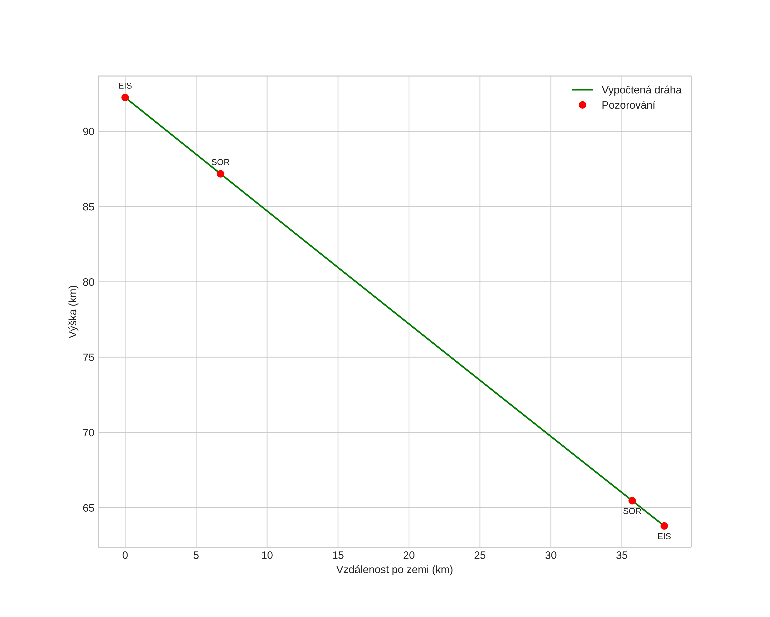
height profile
Atmosférická dráha meteoru:
Počáteční výška: 91,6 km
Konečná výška: 61,3 km
Počáteční poloha: 67,492N 20,578E
Konečná poloha: 67,595N 19,659E
Směr: 286,6°
Sklon: 36,7°
VstupnĂ­ rychlost: 36,9 km/s
Rektascenze radiantu: 03:54 (58,6°)
Deklinace radiantu: 26,4°
MeteorickĂ˝ roj: sporadickĂ˝
Elementy dráhy meteoroidu:
Vzdálenost v periheliu: 0,465 AU
Excentricita: 1,193
Sklon dráhy: 6,9°
Délka vzestupného uzlu: 242,1°
Argument perihelia: 268,4°
Střední anomálie: -9,0°
Epocha: 2022 NOV 24 18:16:42
orbit plot

NeinteraktivnĂ­ graf | InteraktivnĂ­ graf

position vs time
speed and acceleration