🇳🇴 🇬🇧 🇩🇪 🇨🇿 🇫🇮

Meteor Kirunan yllä 2022-11-24 18:16:42 UTC

KML-tiedosto  |  Interaktiivinen kartta

Kartta näyttää meteorin suuntahavainnot. Vaaleammat viivat näyttävät suunnat havaintoasemilta meteorin ilmestyessä, ja tummemmat viivat näyttävät, missä se viimeksi nähtiin. Sininen nuoli näyttää meteorin näkyvän lennon.

static map
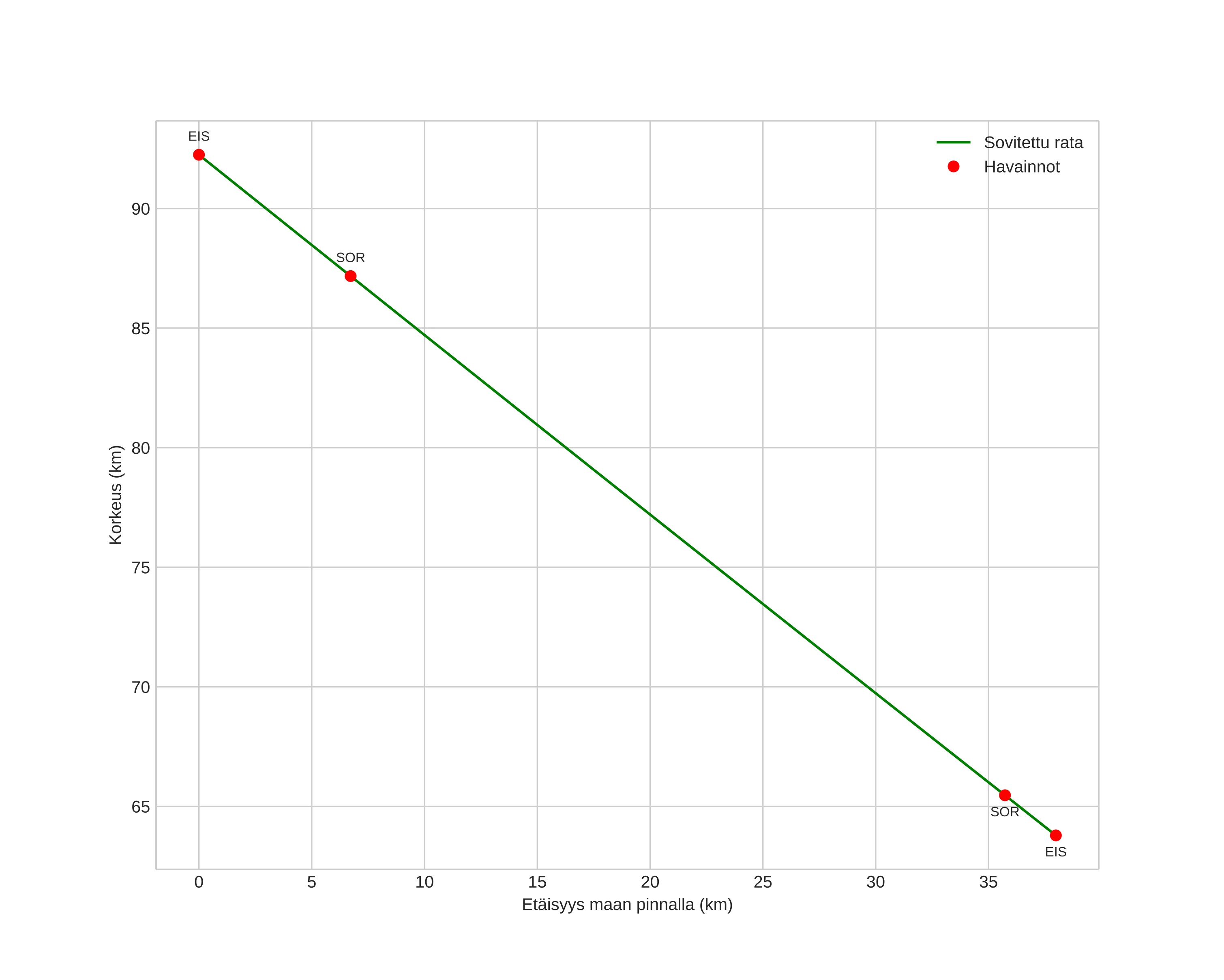
height profile
Meteorin ilmakehärata:
Alkukorkeus: 91,6 km
Loppukorkeus: 61,3 km
Alkupiste: 67,492N 20,578E
Loppupiste: 67,595N 19,659E
Suunta: 286,6°
Kallistuskulma: 36,7°
Tulonopeus: 36,9 km/s
Radiantin R,A,: 03:54 (58,6°)
Radiantin Dekl,: 26,4°
Meteoriparvi: Sporadinen
Meteoroidin rataelementit:
Perihelietäisyys: 0,465 AU
Eksentrisyys: 1,193
Inklinaatio: 6,9°
Nousevan solmun pituus: 242,1°
Perihelin argumentti: 268,4°
Keskianomalia: -9,0°
Epookki: 2022 NOV 24 18:16:42
orbit plot

Ei-interaktiivinen kuvaaja | Interaktiivinen kuvaaja

position vs time
speed and acceleration