🇳🇴 🇬🇧 🇩🇪 🇨🇿 🇫🇮

Meteor, poloha: Rypefjord 2022-11-26 03:48:24 UTC

Soubor KML  |  InteraktivnĂ­ mapa

Mapa zobrazuje dráhy meteoru. Světlejší čáry ukazují směry od pozorovacích stanic při objevení se meteoru a tmavší čáry, kde byl naposledy viděn. Modrá šipka značí viditelnou dráhu meteoru.

static map
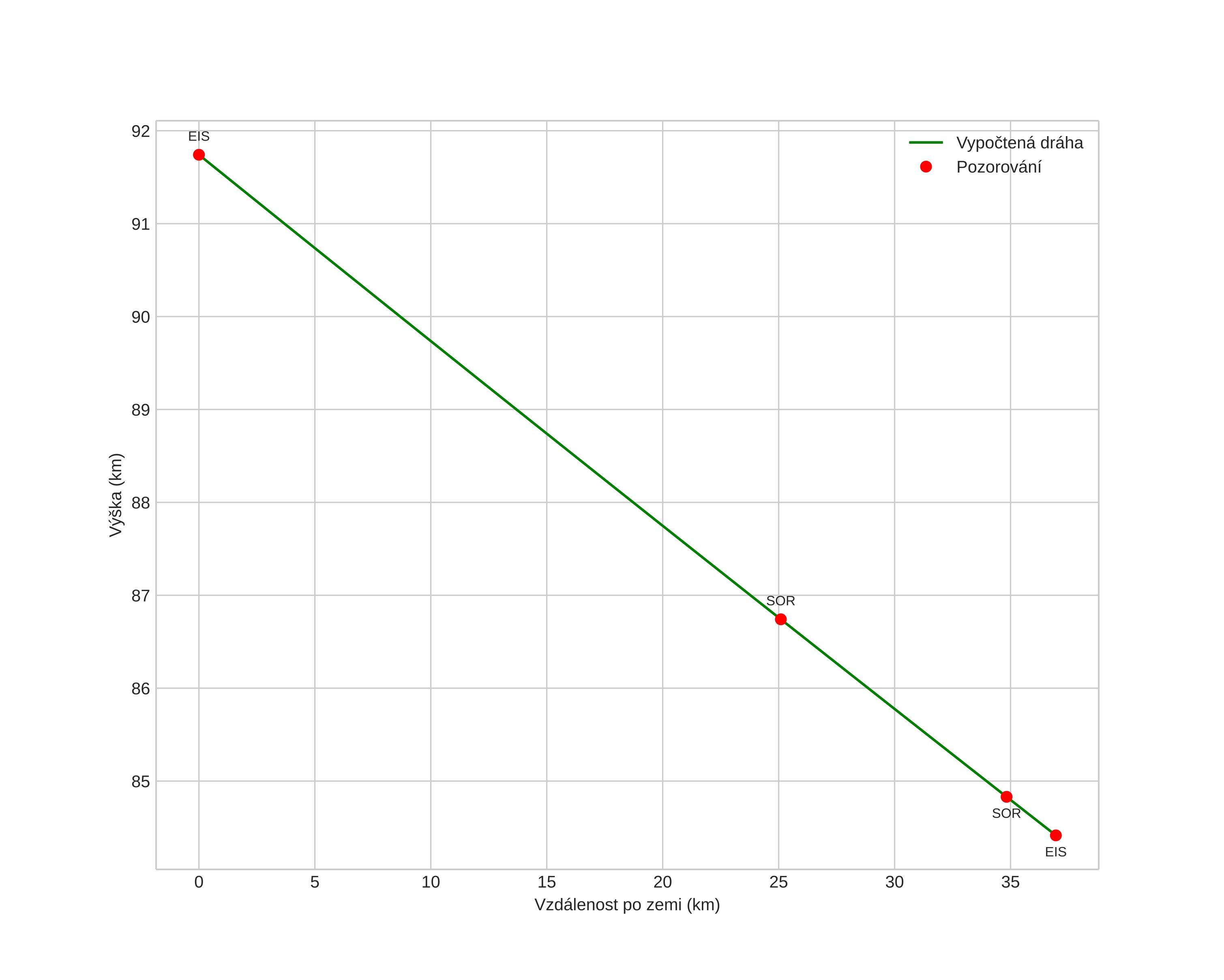
height profile
Atmosférická dráha meteoru:
Počáteční výška: 92,2 km
Konečná výška: 85,5 km
Počáteční poloha: 70,401N 22,164E
Konečná poloha: 70,483N 23,180E
Směr: 76,0°
Sklon: 9,8°
VstupnĂ­ rychlost: 31,6 km/s
Rektascenze radiantu: 04:37 (69,3°)
Deklinace radiantu: 1,5°
MeteorickĂ˝ roj: sporadickĂ˝
Elementy dráhy meteoroidu:
Vzdálenost v periheliu: 0,508 AU
Excentricita: 0,935
Sklon dráhy: 20,2°
Délka vzestupného uzlu: 63,6°
Argument perihelia: 90,2°
Střední anomálie: 358,2°
Epocha: 2022 NOV 26 03:48:24
orbit plot

NeinteraktivnĂ­ graf | InteraktivnĂ­ graf

position vs time
speed and acceleration