🇳🇴 🇬🇧 🇩🇪 🇨🇿 🇫🇮

Meteor Rypefjordin yllä 2022-11-26 03:48:24 UTC

KML-tiedosto  |  Interaktiivinen kartta

Kartta näyttää meteorin suuntahavainnot. Vaaleammat viivat näyttävät suunnat havaintoasemilta meteorin ilmestyessä, ja tummemmat viivat näyttävät, missä se viimeksi nähtiin. Sininen nuoli näyttää meteorin näkyvän lennon.

static map
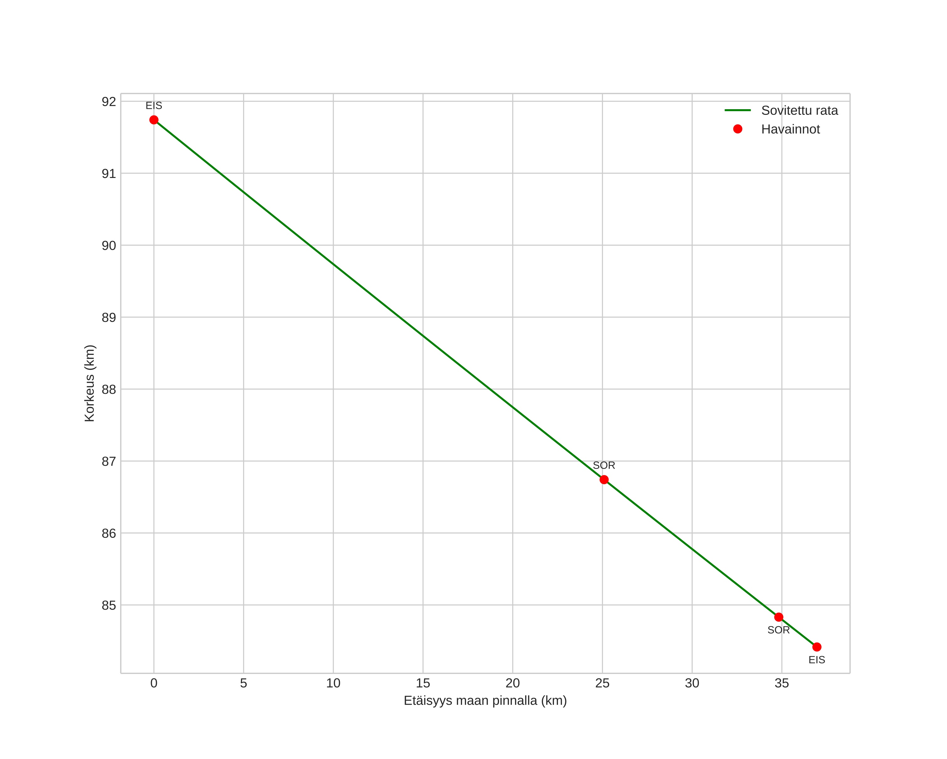
height profile
Meteorin ilmakehärata:
Alkukorkeus: 92,2 km
Loppukorkeus: 85,5 km
Alkupiste: 70,401N 22,164E
Loppupiste: 70,483N 23,180E
Suunta: 76,0°
Kallistuskulma: 9,8°
Tulonopeus: 31,6 km/s
Radiantin R,A,: 04:37 (69,3°)
Radiantin Dekl,: 1,5°
Meteoriparvi: Sporadinen
Meteoroidin rataelementit:
Perihelietäisyys: 0,508 AU
Eksentrisyys: 0,935
Inklinaatio: 20,2°
Nousevan solmun pituus: 63,6°
Perihelin argumentti: 90,2°
Keskianomalia: 358,2°
Epookki: 2022 NOV 26 03:48:24
orbit plot

Ei-interaktiivinen kuvaaja | Interaktiivinen kuvaaja

position vs time
speed and acceleration