🇳🇴 🇬🇧 🇩🇪 🇨🇿 🇫🇮

Meteor, poloha: Moen 2022-11-27 22:48:08 UTC

Soubor KML  |  InteraktivnĂ­ mapa

Mapa zobrazuje dráhy meteoru. Světlejší čáry ukazují směry od pozorovacích stanic při objevení se meteoru a tmavší čáry, kde byl naposledy viděn. Modrá šipka značí viditelnou dráhu meteoru.

static map
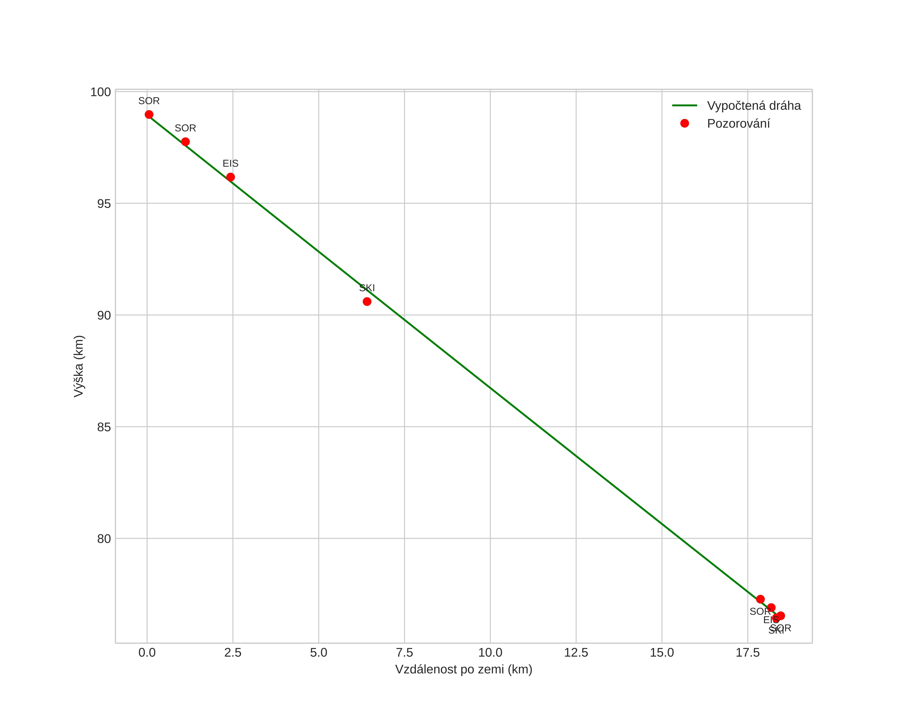
height profile
Atmosférická dráha meteoru:
Počáteční výška: 99,7 km
Konečná výška: 76,5 km
Počáteční poloha: 69,416N 18,794E
Konečná poloha: 69,247N 18,772E
Směr: 182,6°
Sklon: 50,9°
VstupnĂ­ rychlost: 35,0 km/s
Rektascenze radiantu: 16:13 (243,3°)
Deklinace radiantu: 70,5°
MeteorickĂ˝ roj: sporadickĂ˝
Elementy dráhy meteoroidu:
Vzdálenost v periheliu: 0,986 AU
Excentricita: 0,843
Sklon dráhy: 53,4°
Délka vzestupného uzlu: 245,4°
Argument perihelia: 184,0°
Střední anomálie: 359,8°
Epocha: 2022 NOV 27 22:48:08
orbit plot

NeinteraktivnĂ­ graf | InteraktivnĂ­ graf

position vs time
speed and acceleration