🇳🇴 🇬🇧 🇩🇪 🇨🇿 🇫🇮

Meteor Moenin yllä 2022-11-27 22:48:08 UTC

KML-tiedosto  |  Interaktiivinen kartta

Kartta näyttää meteorin suuntahavainnot. Vaaleammat viivat näyttävät suunnat havaintoasemilta meteorin ilmestyessä, ja tummemmat viivat näyttävät, missä se viimeksi nähtiin. Sininen nuoli näyttää meteorin näkyvän lennon.

static map
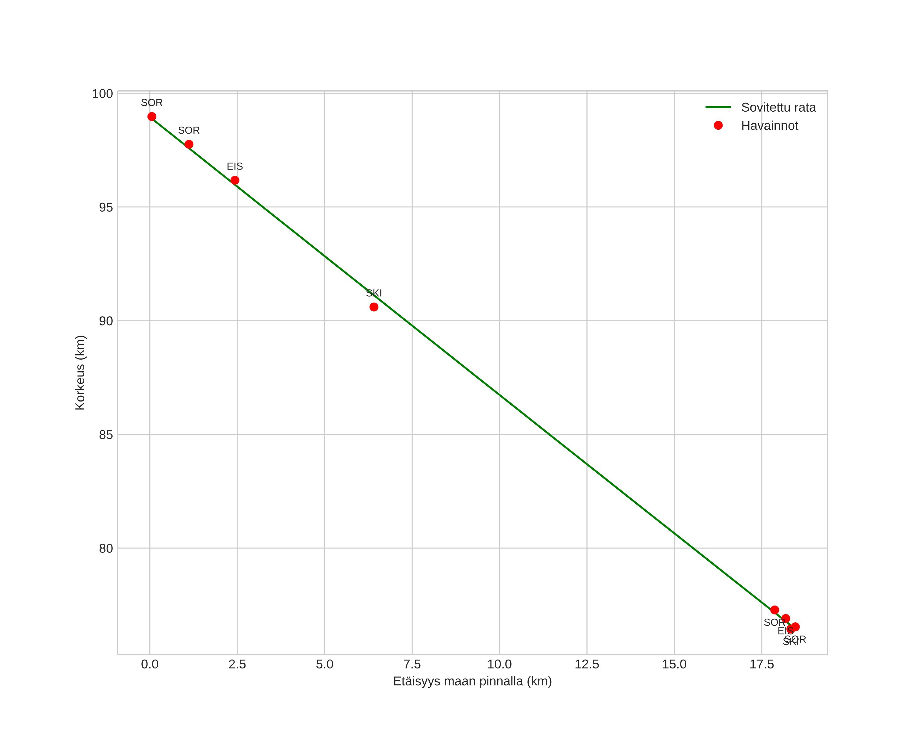
height profile
Meteorin ilmakehärata:
Alkukorkeus: 99,7 km
Loppukorkeus: 76,5 km
Alkupiste: 69,416N 18,794E
Loppupiste: 69,247N 18,772E
Suunta: 182,6°
Kallistuskulma: 50,9°
Tulonopeus: 35,0 km/s
Radiantin R,A,: 16:13 (243,3°)
Radiantin Dekl,: 70,5°
Meteoriparvi: Sporadinen
Meteoroidin rataelementit:
Perihelietäisyys: 0,986 AU
Eksentrisyys: 0,843
Inklinaatio: 53,4°
Nousevan solmun pituus: 245,4°
Perihelin argumentti: 184,0°
Keskianomalia: 359,8°
Epookki: 2022 NOV 27 22:48:08
orbit plot

Ei-interaktiivinen kuvaaja | Interaktiivinen kuvaaja

position vs time
speed and acceleration