🇳🇴 🇬🇧 🇩🇪 🇨🇿 🇫🇮

Meteor, poloha: Setermoen 2022-11-28 01:09:31 UTC

Soubor KML  |  InteraktivnĂ­ mapa

Mapa zobrazuje dráhy meteoru. Světlejší čáry ukazují směry od pozorovacích stanic při objevení se meteoru a tmavší čáry, kde byl naposledy viděn. Modrá šipka značí viditelnou dráhu meteoru.

static map
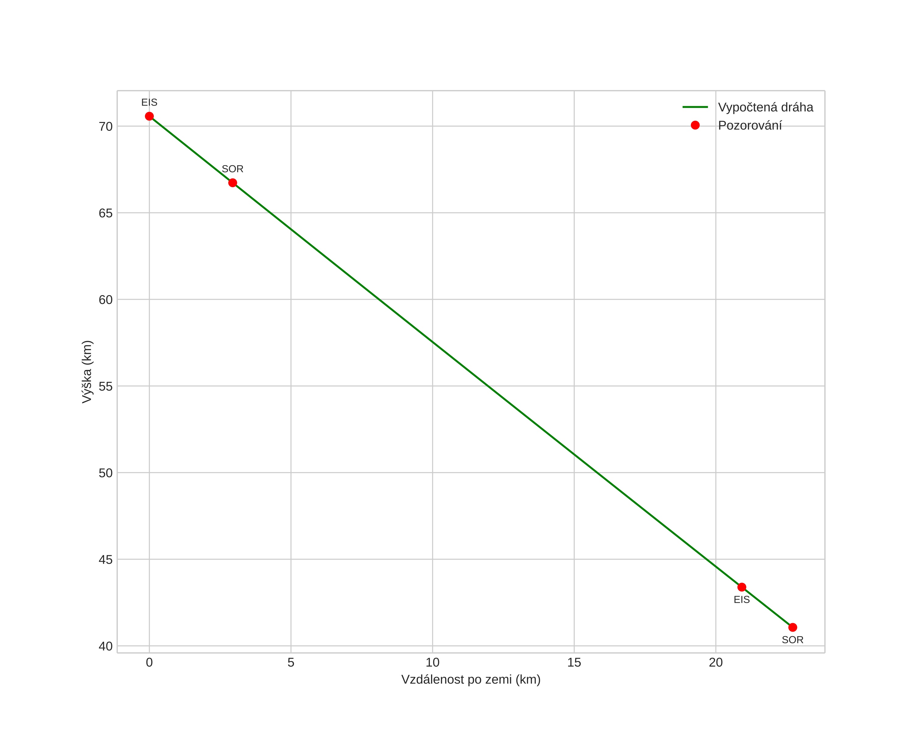
height profile
Atmosférická dráha meteoru:
Počáteční výška: 70,8 km
Konečná výška: 40,7 km
Počáteční poloha: 67,855N 18,565E
Konečná poloha: 67,723N 18,942E
Směr: 132,7°
Sklon: 54,4°
VstupnĂ­ rychlost: 14,2 km/s
Rektascenze radiantu: 23:40 (355,0°)
Deklinace radiantu: 56,6°
MeteorickĂ˝ roj: sporadickĂ˝
Elementy dráhy meteoroidu:
Vzdálenost v periheliu: 0,952 AU
Excentricita: 0,355
Sklon dráhy: 11,7°
Délka vzestupného uzlu: 245,4°
Argument perihelia: 210,1°
Střední anomálie: 346,3°
Epocha: 2022 NOV 28 01:09:31
orbit plot

NeinteraktivnĂ­ graf | InteraktivnĂ­ graf

position vs time
speed and acceleration