🇳🇴 🇬🇧 🇩🇪 🇨🇿 🇫🇮

Meteor Setermoenin yllä 2022-11-28 01:09:31 UTC

KML-tiedosto  |  Interaktiivinen kartta

Kartta näyttää meteorin suuntahavainnot. Vaaleammat viivat näyttävät suunnat havaintoasemilta meteorin ilmestyessä, ja tummemmat viivat näyttävät, missä se viimeksi nähtiin. Sininen nuoli näyttää meteorin näkyvän lennon.

static map
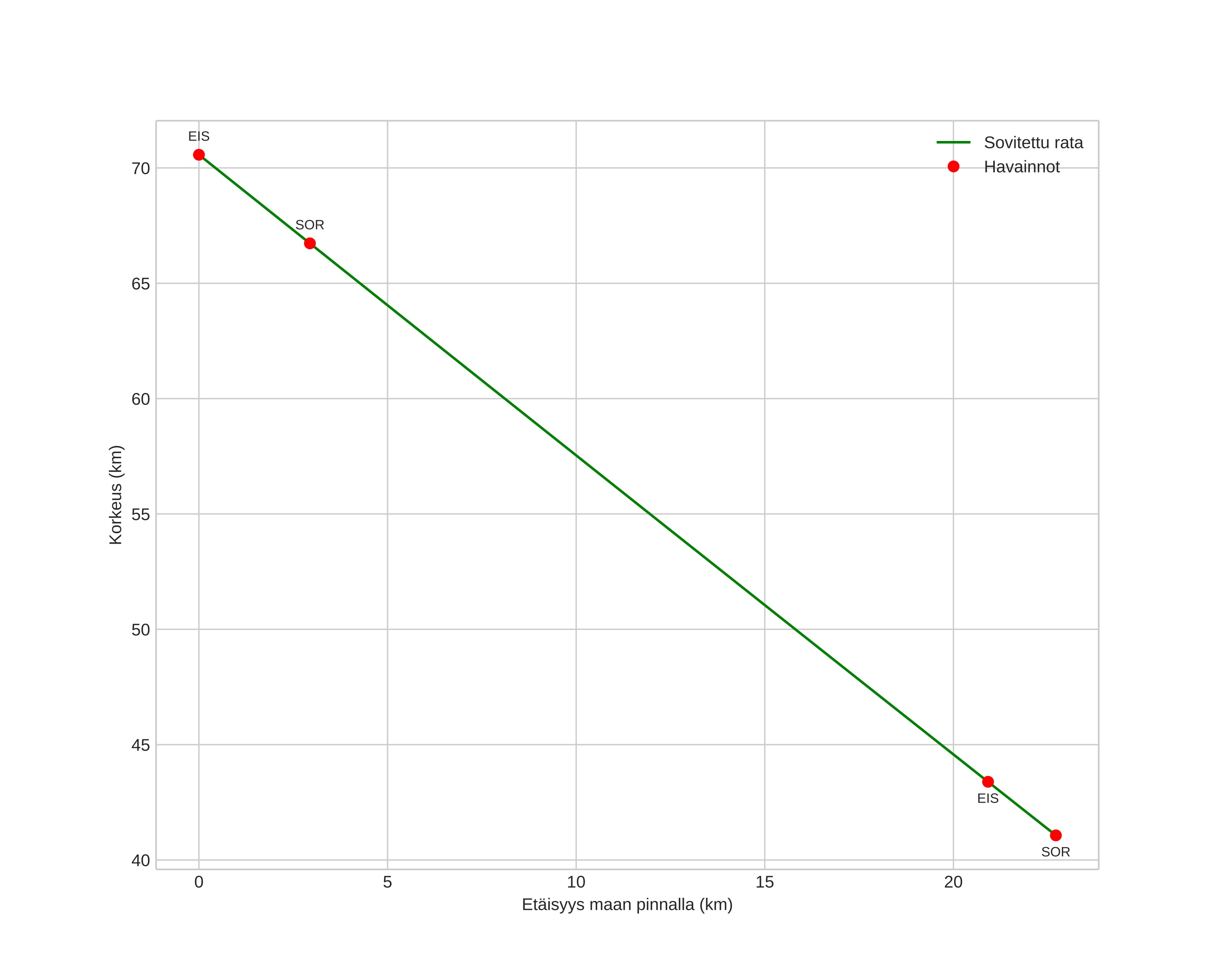
height profile
Meteorin ilmakehärata:
Alkukorkeus: 70,8 km
Loppukorkeus: 40,7 km
Alkupiste: 67,855N 18,565E
Loppupiste: 67,723N 18,942E
Suunta: 132,7°
Kallistuskulma: 54,4°
Tulonopeus: 14,2 km/s
Radiantin R,A,: 23:40 (355,0°)
Radiantin Dekl,: 56,6°
Meteoriparvi: Sporadinen
Meteoroidin rataelementit:
Perihelietäisyys: 0,952 AU
Eksentrisyys: 0,355
Inklinaatio: 11,7°
Nousevan solmun pituus: 245,4°
Perihelin argumentti: 210,1°
Keskianomalia: 346,3°
Epookki: 2022 NOV 28 01:09:31
orbit plot

Ei-interaktiivinen kuvaaja | Interaktiivinen kuvaaja

position vs time
speed and acceleration